الملاحظات المثبتة في المناهج الإماراتية
أهلاً بكم جميعاً طلاباً ومدرسين وأهالي طلبة ومهتمين، في قسم دولة الإمارات ، نحن الآن في الفصل الأول من العام الدراسي 2025/2026 وتاريخ اليوم 2025/11/01 م
تنويه: المناهج الإماراتية هو موقع مجاني وغير رسمي ولا يتطلب اشتراك لتحميل الملفات، لذلك يرجى عدم دفع أي مبلغ أو الاشتراك من أجل تحميل الملفات.
الجداول التفاعلية لامتحان نهاية الفصل الأول للصفوف من الثالث إلى الثاني عشر
📆 الملاحظة القادمة في التقويم المدرسي - الفصل الأول: الاختبار التجريبي. في 2025-11-17
📌 الخطة الدراسية الرسمية المعتمدة للعام الدراسي 2025-2026
📌 تنويه: موقع المناهج لا ينشر أي إعلان أو روابط تخص منصة ألف، وعليه نرجو منكم الخروج من المجموعات التي تضع شعار الموقع والتي تقوم بالترويج لحلول منصة ألف
🆕 وزارة التربية والتعليم تكشف تفاصيل التقويم الأكاديمي 2025 – 2026
اختبار نهاية الفصل لطلبة الصف الثاني عشر المتقدم التالي سيكون في مادة فيزياء بتاريخ 2025-11-20 - اضغط للحصول على ملفات مادة فيزياء واضغط هنا للحصول على ملفات هياكل مادة فيزياء
أنت هنا: موقع المناهجالمناهج الإماراتية الصف الثاني عشر المتقدم رياضيات الفصل الأول حلول
×

تنويه:
جميع الملفات المنشورة في موقع المناهج هي من إعداد المعلمين أو مستخدمينا الكرام، وتُستخدم لأغراض تعليمية غير ربحية.
في حال وجود أي بلاغ متعلق بحقوق النشر، نرجو التواصل معنا على البريد التالي:
admin@almanahj.com
وسيتم التعامل مع الطلب وحذف المحتوى المخالف خلال 24 ساعة.

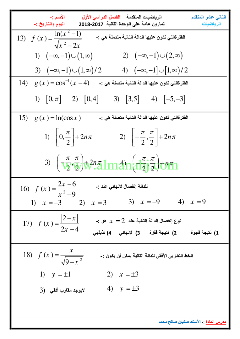
تمارين عامة على الوحدة الثانية ـ غير محلول
السابق: اختبار ثالث الملف الحالي: 5845 التالي: مراجعة الدرس السادس Derivative of trigonometric functions مشتقة الدوال المثلثية من الوحدة الثالثة (اختبر نفسك 10)
المادة: رياضيات
الصف الثاني عشر المتقدم
الفصل الأول
القسم: حلول
العام الدراسي: 2018-2019

معلومات الملف: الصف الثاني عشر المتقدم, الفصل الأول, رياضيات, 2018-2019, تمارين عامة على الوحدة الثانية ـ غير محلول

الحجم: 0
تاريخ إضافة الملف: 2019-04-19 07:04:34 بتوقيت غرينتش
عدد المشاهدات: 2886
توقيت آخر زيارة للملف: 2025-10-31 06:43:36
تمت إضافته بواسطة: aml987
رابط تحميل وعرض ( تمارين عامة على الوحدة الثانية ـ غير محلول )
اضغط هنا لتحميل وعرض ( تمارين عامة على الوحدة الثانية ـ غير محلول )
صورة تعبيرية من الملف:

لتحميل الملف اتبع الرابط

http://aefiles.website/do.php?id=2859">http://aefiles.website/do.php?id=2859

 

 
شارك هذا الملف
البحث عن ملف بحسب الدولة و الصف والمادة والفصل

أحدث ملفات الصف الثاني عشر المتقدم, رياضيات, الفصل الأول
1. مراجعة الدرس السادس Derivative of trigonometric functions مشتقة الدوال المثلثية من الوحدة الثالثة (اختبر نفسك 10)
تاريخ ووقت الإضافة: 2025-10-30 18:28:28
2. مراجعة الدرس الخامس Chain rule قاعدة السلسلة من الوحدة الثالثة (اختبر نفسك 9)
تاريخ ووقت الإضافة: 2025-10-30 17:10:53
3. مراجعة الدرس الرابع Product and quotient rule قاعدة الضرب والقسمة من الوحدة الثالثة (اختبر نفسك 8)
تاريخ ووقت الإضافة: 2025-10-26 08:33:53
4. حل مراجعة الدرس الثالث COMPUTATION OF DERIVATIVES: THE POWER RULE حساب المشتقات: قاعدة القوى من الوحدة الثالثة (اختبر نفسك 7)
تاريخ ووقت الإضافة: 2025-10-26 08:18:07
5. مراجعة الدرس الثالث COMPUTATION OF DERIVATIVES: THE POWER RULE حساب المشتقات: قاعدة القوى من الوحدة الثالثة (اختبر نفسك 7)
تاريخ ووقت الإضافة: 2025-10-26 08:15:43
6. حل مراجعة الدرسين الأول والثاني Tangent Lines and Velocity The Derivative المماسات والسرعة المتجهة الاشتقاق من الوحدة الثالثة (اختبر نفسك 6)
تاريخ ووقت الإضافة: 2025-10-26 08:10:00
7. مراجعة الدرسين الأول والثاني Tangent Lines and Velocity The Derivative المماسات والسرعة المتجهة الاشتقاق من الوحدة الثالثة (اختبر نفسك 6)
تاريخ ووقت الإضافة: 2025-10-26 08:08:25
8. حل مراجعة الدرس الخامس Limits involving infinity, asymptotes نهاية دالة عند اللانهاية والمقاربات من الوحدة الثانية (اختبر نفسك 5)
تاريخ ووقت الإضافة: 2025-10-26 00:33:22
9. تجميعة أسئلة نموذج امتحاني وفق الهيكل الوزاري الجديد حسب منهج بريدج وريفيل
تاريخ ووقت الإضافة: 2025-10-25 18:04:08
10. مراجعة شاملة وفق الهيكل الوزاري الجديد للمنهجين ربفيل وبريدج
تاريخ ووقت الإضافة: 2025-10-23 10:45:13
هل تريد ملفات لمادة أخرى لقسم الصف الثاني عشر المتقدم, الفصل الأول ؟ اخترها
فيزياء
(277 ملف)
كيمياء
(180 ملف)
علوم
(45 ملف)
تربية اسلامية
(14 ملف)
علوم صحية
(7 ملف)
الامتحانات
(6 ملف)
لغة انجليزية
(5 ملف)
المدارس
(4 ملف)
غير ذلك
(1 ملف)
اجتماعيات
(1 ملف)
أكثر خمس كلمات زيارة اليوم بحسب: رياضيات - الصف الثاني عشر المتقدم - الفصل الأول
الكلمةالمشاهدات
sheets ️ 14
final ️ 13
differentiation ️ 10
Chain ️ 8
ملاحظات ️ 6
أكثر خمس كلمات الرائجة لليوم في الصف الثاني عشر المتقدم
الكلمةالمادةالمشاهدات
sheets فيزياء ️ 15
sheets رياضيات ️ 14
sheets علوم صحية ️ 14
sheets رياضيات ️ 13
final رياضيات ️ 13

أحدث ملفات الصف الثاني عشر المتقدم
1. رياضيات, الفصل الأول, 2025-2026, مراجعة الدرس السادس Derivative of trigonometric functions مشتقة الدوال المثلثية من الوحدة الثالثة (اختبر نفسك 10)
قبل 1 يوم | المشاهدات: 77
2. رياضيات, الفصل الأول, 2025-2026, مراجعة الدرس الخامس Chain rule قاعدة السلسلة من الوحدة الثالثة (اختبر نفسك 9)
قبل 1 يوم | المشاهدات: 74
3. كيمياء, الفصل الأول, 2025-2026, مراجعة وفق الهيكل الوزاري الجديد المسار C منهج انسباير مع الإجابات
قبل 1 يوم | المشاهدات: 74
4. كيمياء, الفصل الأول, 2025-2026, حل تجميعة صفحات الكتاب وفق الهيكل الوزاري المسار C-101 منهج بريدج
قبل 2 أيام | المشاهدات: 107
5. علوم, الفصل الأول, 2025-2026, مراجعة وفق الهيكل الوزاري الجديد المسار C-101 منهج انسباير بدون الحل
قبل 5 أيام | المشاهدات: 163
6. رياضيات, الفصل الأول, 2025-2026, مراجعة الدرس الرابع Product and quotient rule قاعدة الضرب والقسمة من الوحدة الثالثة (اختبر نفسك 8)
قبل 6 أيام | المشاهدات: 109
7. رياضيات, الفصل الأول, 2025-2026, حل مراجعة الدرس الثالث COMPUTATION OF DERIVATIVES: THE POWER RULE حساب المشتقات: قاعدة القوى من الوحدة الثالثة (اختبر نفسك 7)
قبل 6 أيام | المشاهدات: 126
8. رياضيات, الفصل الأول, 2025-2026, مراجعة الدرس الثالث COMPUTATION OF DERIVATIVES: THE POWER RULE حساب المشتقات: قاعدة القوى من الوحدة الثالثة (اختبر نفسك 7)
قبل 6 أيام | المشاهدات: 150
9. رياضيات, الفصل الأول, 2025-2026, حل مراجعة الدرسين الأول والثاني Tangent Lines and Velocity The Derivative المماسات والسرعة المتجهة الاشتقاق من الوحدة الثالثة (اختبر نفسك 6)
قبل 6 أيام | المشاهدات: 165
10. رياضيات, الفصل الأول, 2025-2026, مراجعة الدرسين الأول والثاني Tangent Lines and Velocity The Derivative المماسات والسرعة المتجهة الاشتقاق من الوحدة الثالثة (اختبر نفسك 6)
قبل 6 أيام | المشاهدات: 110
11. رياضيات, الفصل الأول, 2025-2026, حل مراجعة الدرس الخامس Limits involving infinity, asymptotes نهاية دالة عند اللانهاية والمقاربات من الوحدة الثانية (اختبر نفسك 5)
قبل 6 أيام | المشاهدات: 192
12. فيزياء, الفصل الأول, 2025-2026, شرح دروس الوحدة الثانية المجال الكهربائي وقانون جاوس مع تدريبات متبوعة بالإجابات
قبل 6 أيام | المشاهدات: 181
13. فيزياء, الفصل الأول, 2025-2026, أوراق عمل مراجعة الوحدة الثانية المجال الكهربائي وقانون جاوس
قبل 6 أيام | المشاهدات: 242
14. رياضيات, الفصل الأول, 2025-2026, تجميعة أسئلة نموذج امتحاني وفق الهيكل الوزاري الجديد حسب منهج بريدج وريفيل
قبل 6 أيام | المشاهدات: 172
15. فيزياء, الفصل الأول, 2025-2026, نموذج إجابة تجميعة أسئلة مراجعة وفق الهيكل الوزاري الجديد المسار C منهج انسباير
قبل 1 أسبوع | المشاهدات: 258
اضغط للمزيد من ملفات الصف الثاني عشر المتقدم

أحدث ملفات الصف الثاني عشر المتقدم, اجتماعيات, الفصل الأول
1. ملخص الدروس مع تدريبات (أسئلة وأجوبة)
تاريخ ووقت الإضافة: 2020-05-28 05:38:36
هل تريد ملفات لمادة أخرى لقسم الصف الثاني عشر المتقدم, الفصل الأول ؟ اخترها
رياضيات
(415 ملف)
فيزياء
(277 ملف)
كيمياء
(180 ملف)
علوم
(45 ملف)
تربية اسلامية
(14 ملف)
علوم صحية
(7 ملف)
الامتحانات
(6 ملف)
لغة انجليزية
(5 ملف)
المدارس
(4 ملف)
غير ذلك
(1 ملف)