الملاحظات المثبتة في المناهج الإماراتية
أهلاً بكم جميعاً طلاباً ومدرسين وأهالي طلبة ومهتمين، في قسم دولة الإمارات ، نحن الآن في الفصل الأول من العام الدراسي 2025/2026 وتاريخ اليوم 2025/11/17 م
تنويه: المناهج الإماراتية هو موقع مجاني وغير رسمي ولا يتطلب اشتراك لتحميل الملفات، لذلك يرجى عدم دفع أي مبلغ أو الاشتراك من أجل تحميل الملفات.
الجداول التفاعلية لامتحان نهاية الفصل الأول للصفوف من الثالث إلى الثاني عشر
📆 الملاحظة القادمة في التقويم المدرسي - الفصل الأول: امتحانات نهاية الفصل الدراسي. في 2025-11-20
📌 الخطة الدراسية الرسمية المعتمدة للعام الدراسي 2025-2026
📌 تنويه: موقع المناهج لا ينشر أي إعلان أو روابط تخص منصة ألف، وعليه نرجو منكم الخروج من المجموعات التي تضع شعار الموقع والتي تقوم بالترويج لحلول منصة ألف
🆕 وزارة التربية والتعليم تكشف تفاصيل التقويم الأكاديمي 2025 – 2026
اختبار نهاية الفصل لطلبة الصف الحادي عشر المتقدم التالي سيكون في مادة فيزياء بتاريخ 2025-11-20 - اضغط للحصول على ملفات مادة فيزياء واضغط هنا للحصول على ملفات هياكل مادة فيزياء
أنت هنا: موقع المناهجالمناهج الإماراتية الصف الحادي عشر المتقدم رياضيات الفصل الأول حلول
×

تنويه:
جميع الملفات المنشورة في موقع المناهج هي من إعداد المعلمين أو مستخدمينا الكرام، وتُستخدم لأغراض تعليمية غير ربحية.
في حال وجود أي بلاغ متعلق بحقوق النشر، نرجو التواصل معنا على البريد التالي:
admin@almanahj.com
وسيتم التعامل مع الطلب وحذف المحتوى المخالف خلال 24 ساعة.

اسئلة امتحان نهاية الفصل الاول مع الحل
السابق: جدول امتحان المتقدم نهاية الفصل الاول الدواسي الملف الحالي: 6182 التالي: تجميعة أسئلة مراجعة وفق الهيكل الوزاري الجديد منهج بريدج
المادة: رياضيات
الصف الحادي عشر المتقدم
الفصل الأول
القسم: حلول
العام الدراسي: 2017-2018

معلومات الملف:

الصف الحادي عشر المتقدم, الفصل الأول, رياضيات, 2018-2019, اسئلة امتحان نهاية الفصل الاول 2017-2018 مع الحل

هذا الملف وزاري - اضغط هنا للحصول على جميع كتب الصف الحادي عشر المتقدم
يمكنك الحصول على المزيد من الملفات المشابهة من موقع وزارة التربية والتعليم في الإمارات العربية المتحدة
الحجم: 0
تاريخ إضافة الملف: 2019-04-19 07:04:34 بتوقيت غرينتش
عدد المشاهدات: 12635
توقيت آخر زيارة للملف: 2025-11-17 09:15:50
تمت إضافته بواسطة: aml987
توقيت آخر تعديل للملف: 2022-09-24 15:52:31 | تم التعديل بواسطة: Asifhammoud

روابط تحميل الملف المرفق





عرض على جوجل درايف
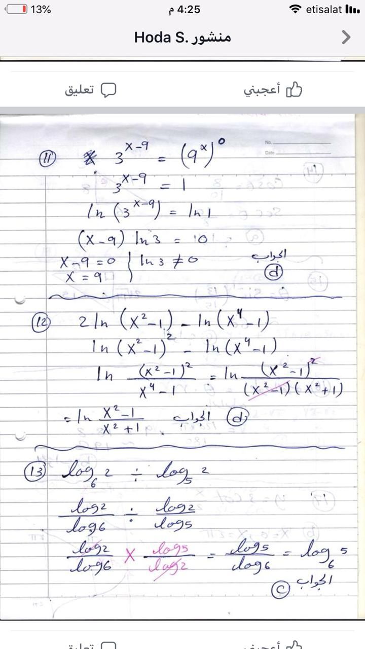
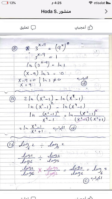
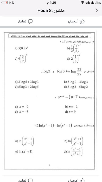
صورة تعبيرية من الملف:

لتحميل الملف اتبع الرابط

 

 
شارك هذا الملف
البحث عن ملف بحسب الدولة و الصف والمادة والفصل

أحدث ملفات الصف الحادي عشر المتقدم, رياضيات, الفصل الأول
1. تجميعة أسئلة وفق الهيكل الوزاري الجديد منهج بريدج
تاريخ ووقت الإضافة: 2025-11-07 07:34:41
2. كراسة تدريبية مراجعة وفق الهيكل الوزاري الجديد منهج بريدج
تاريخ ووقت الإضافة: 2025-11-05 20:56:16
3. تجميعة أسئلة شاملة وفق الهيكل الوزاري الجديد منهج بريدج
تاريخ ووقت الإضافة: 2025-11-05 00:17:49
4. تجميعة أسئلة مراجعة وفق الهيكل الوزاري الجديد منهج بريدج
تاريخ ووقت الإضافة: 2025-11-02 13:37:11
5. حل تجميعة أسئلة مراجعة وفق الهيكل الوزاري الجديد منهج بريدج
تاريخ ووقت الإضافة: 2025-11-01 20:51:49
6. تجميعة أسئلة صفحات الكتاب وفق الهيكل الوزاري الجديد منهج بريدج
تاريخ ووقت الإضافة: 2025-10-28 20:08:24
7. مراجعة وحدة الدوال المثلثية وفق الهيكل الوزاري الجديد منهج بريدج
تاريخ ووقت الإضافة: 2025-10-27 12:46:53
8. مراجعة وحدة الدوال من منظور التفاضل والتكامل وفق الهيكل الوزاري الجديد منهج بريدج
تاريخ ووقت الإضافة: 2025-10-27 12:44:35
9. مراجعة وحدة الإحصاء وفق الهيكل الوزاري الجديد منهج بريدج
تاريخ ووقت الإضافة: 2025-10-27 12:38:37
10. تجميعة أسئلة وفق مخرجات الهيكل الوزاري الجديد منهج ريفيل
تاريخ ووقت الإضافة: 2025-10-26 22:02:05
هل تريد ملفات لمادة أخرى لقسم الصف الحادي عشر المتقدم, الفصل الأول ؟ اخترها
فيزياء
(105 ملف)
علوم
(83 ملف)
كيمياء
(25 ملف)
الامتحانات
(7 ملف)
لغة انجليزية
(6 ملف)
المدارس
(4 ملف)
لغة عربية
(1 ملف)
علوم صحية
(1 ملف)
أكثر خمس كلمات زيارة اليوم بحسب: رياضيات - الصف الحادي عشر المتقدم - الفصل الأول
الكلمةالمشاهدات
final ️ 4
الدوال ️ 2
notes ️ 1
جميع ️ 1
النهائي ️ 1
أكثر خمس كلمات الرائجة لليوم في الصف الحادي عشر المتقدم
الكلمةالمادةالمشاهدات
العربية فيزياء ️ 6
final رياضيات ️ 4
مع رياضيات ️ 3
exams فيزياء ️ 3
notes لغة عربية ️ 3

أحدث ملفات الصف الحادي عشر المتقدم
1. فيزياء, الفصل الأول, 2025-2026, تجميعة أسئلة مراجعة وفق الهيكل الوزاري الجديد منهج بريدج
قبل 3 أيام | المشاهدات: 851
2. فيزياء, الفصل الأول, 2025-2026, اختبار مطابق لمخرجات الهيكل الوزاري الجديد منهج انسباير القسم الالكتروني
قبل 3 أيام | المشاهدات: 542
3. علوم, الفصل الأول, 2025-2026, حل تجميعة أسئلة وفق الهيكل الوزاري الجديد منهج بريدج
قبل 5 أيام | المشاهدات: 221
4. علوم, الفصل الأول, 2025-2026, مراجعة وفق الهيكل الوزاري الجديد منهج بريدج
قبل 1 أسبوع | المشاهدات: 275
5. رياضيات, الفصل الأول, 2025-2026, تجميعة أسئلة وفق الهيكل الوزاري الجديد منهج بريدج
قبل 1 أسبوع | المشاهدات: 737
6. فيزياء, الفصل الأول, 2025-2026, كراسة تدريبية مراجعة وفق الهيكل الوزاري الجديد منهج بريدج
قبل 1 أسبوع | المشاهدات: 1337
7. كيمياء, الفصل الأول, 2025-2026, كراسة تدريبية مراجعة وفق الهيكل الوزاري الجديد الخطة P2 منهج بريدج
قبل 1 أسبوع | المشاهدات: 1097
8. رياضيات, الفصل الأول, 2025-2026, كراسة تدريبية مراجعة وفق الهيكل الوزاري الجديد منهج بريدج
قبل 1 أسبوع | المشاهدات: 552
9. علوم, الفصل الأول, 2025-2026, كراسة تدريبية مراجعة وفق الهيكل الوزاري الجديد منهج بريدج
قبل 1 أسبوع | المشاهدات: 463
10. كيمياء, الفصل الأول, 2025-2026, تجميعة مراجعة صفحات الكتاب وفق الهيكل الوزاري منهج بريدج
قبل 1 أسبوع | المشاهدات: 870
11. رياضيات, الفصل الأول, 2025-2026, تجميعة أسئلة شاملة وفق الهيكل الوزاري الجديد منهج بريدج
قبل 1 أسبوع | المشاهدات: 393
12. رياضيات, الفصل الأول, 2025-2026, تجميعة أسئلة مراجعة وفق الهيكل الوزاري الجديد منهج بريدج
قبل 2 أسابيع | المشاهدات: 260
13. رياضيات, الفصل الأول, 2025-2026, حل تجميعة أسئلة مراجعة وفق الهيكل الوزاري الجديد منهج بريدج
قبل 2 أسابيع | المشاهدات: 352
14. كيمياء, الفصل الأول, 2025-2026, حل تجميعة أسئلة سيناريو 1 وفق الهيكل الوزاري الجديد منهج انسباير
قبل 2 أسابيع | المشاهدات: 634
15. رياضيات, الفصل الأول, 2025-2026, تجميعة أسئلة صفحات الكتاب وفق الهيكل الوزاري الجديد منهج بريدج
قبل 2 أسابيع | المشاهدات: 565
اضغط للمزيد من ملفات الصف الحادي عشر المتقدم

أحدث ملفات الصف الحادي عشر المتقدم, علوم صحية, الفصل الأول
1. أوراق عمل الوحدة الثالثة
تاريخ ووقت الإضافة: 2021-11-12 05:11:43
هل تريد ملفات لمادة أخرى لقسم الصف الحادي عشر المتقدم, الفصل الأول ؟ اخترها
رياضيات
(211 ملف)
فيزياء
(105 ملف)
علوم
(83 ملف)
كيمياء
(25 ملف)
الامتحانات
(7 ملف)
لغة انجليزية
(6 ملف)
المدارس
(4 ملف)
لغة عربية
(1 ملف)