×

حمّل تطبيق المناهج الآن وتمتّع بتجربة أسرع وأسهل في الوصول إلى الملفات والاختبارات.

امتحان محلول وشرح مراجعة لبنود الامتحان الدور الثاني, الصف الثاني عشر العلمي, رياضيات, الفصل الثاني, 2017-2018 - المناهج الكويتية
الملاحظات المثبتة في المناهج الكويتية
أهلاً بكم جميعاً طلاباً ومدرسين وأهالي طلبة ومهتمين، في قسم دولة الكويت ، نحن الآن في الفصل الأول من العام الدراسي 2025/2026 وتاريخ اليوم 2026/03/30 م
تنويه: المناهج الكويتية هو موقع مجاني وغير رسمي ولا يتطلب اشتراك لتحميل الملفات، لذلك يرجى عدم دفع أي مبلغ أو الاشتراك من أجل تحميل الملفات.
📅 الملاحظة القادمة في التقويم المدرسي - الفصل الأول: نهاية تسجيل طلبات نقل الهيئة التعليمية في رياض الأطفال والمتعلمين في 2026-03-31
أنت هنا: موقع المناهجالمناهج الكويتية الصف الثاني عشر العلمي رياضيات الفصل الثاني مذكرات وبنوك
×

تنويه:
جميع الملفات المنشورة في موقع المناهج هي من إعداد المعلمين أو مستخدمينا الكرام، وتُستخدم لأغراض تعليمية غير ربحية.
في حال وجود أي بلاغ متعلق بحقوق النشر، نرجو التواصل معنا عبر الضغط هنا
وسيتم التعامل مع الطلب وحذف المحتوى المخالف خلال 24 ساعة.

امتحان محلول وشرح مراجعة لبنود الامتحان الدور الثاني
السابق: نموذج اجابة اختبار الكيمياء لعام 2018 الملف الحالي: 1335 التالي: بوربوينت التقرير السابع استكشاف متكامل لحجوم الدوران والقطوع الزائدية في سياقات حياتية وفلكية
المادة: رياضيات
الصف الثاني عشر العلمي
الفصل الثاني
القسم: مذكرات وبنوك
العام الدراسي: 2017-2018

معلومات الملف:

لتحميل الملف اتبع الرابط

عدد الصفحات: 80
نوع الملف: PDF
الحجم: 5.4MB
تاريخ إضافة الملف: 2018-05-25 05:05:14 بتوقيت غرينتش
عدد المشاهدات: 6113
توقيت آخر زيارة للملف: 2026-03-29 13:23:24
تمت إضافته بواسطة: Maya
رابط التحميل

تم إيجاد الملف: امتحان محلول وشرح مراجعة لبنود الامتحان الدور الثاني

_عشر_علمي_رياضيات_مراجعة_نهائية_واهم_الاسئلة_المتوقعة.pdf
يتم الآن تحضير الملف (امتحان محلول وشرح مراجعة لبنود الامتحان الدور الثاني) من أجل التحميل

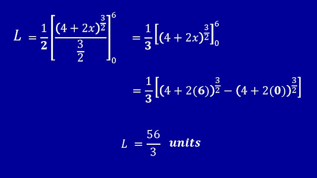
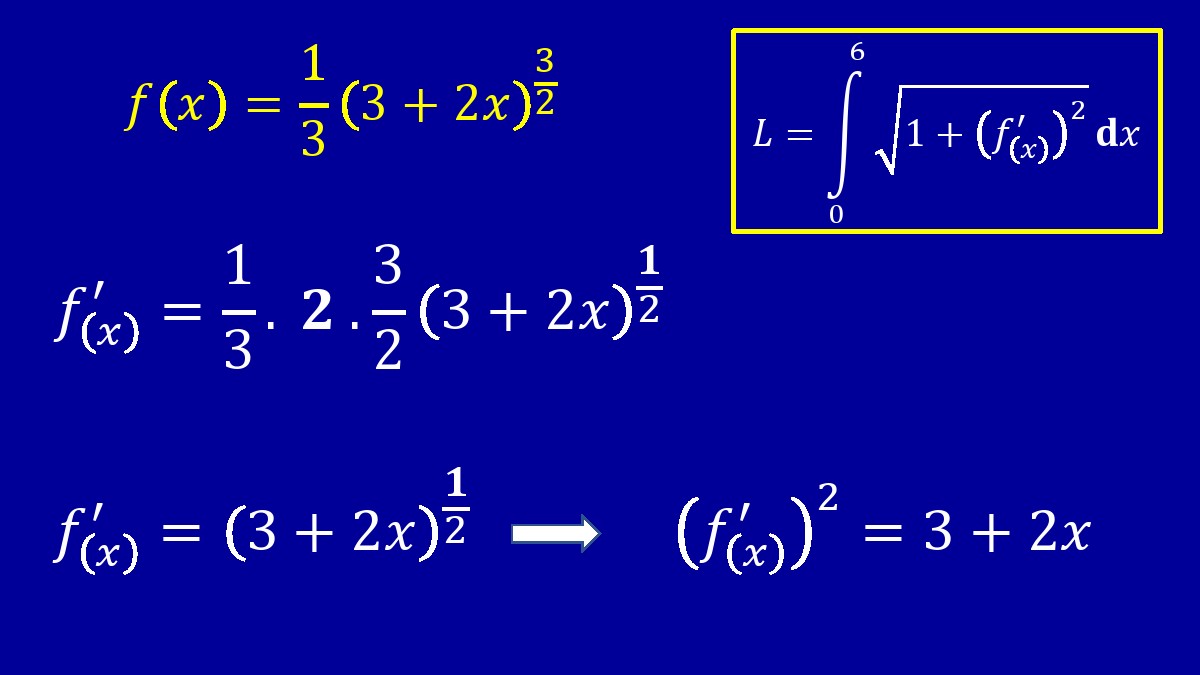
صورة تعبيرية من الملف:

شارك هذا الملف
البحث عن ملف بحسب الدولة و الصف والمادة والفصل

أحدث ملفات الصف الثاني عشر العلمي, رياضيات, الفصل الثاني
1. بوربوينت التقرير السابع استكشاف متكامل لحجوم الدوران والقطوع الزائدية في سياقات حياتية وفلكية
تاريخ ووقت الإضافة: 2026-03-26 13:03:33
2. بوربوينت التقرير السادس تطبيقات القطع الزائد والاختلاف المركزي في مسارات المركبات الفضائية وحركة الكواكب
تاريخ ووقت الإضافة: 2026-03-26 13:01:49
3. بوربوينت التقرير الخامس تطبيقات القطع الناقص والزائد في الهندسة المعمارية واستكشاف الفضاء
تاريخ ووقت الإضافة: 2026-03-26 13:00:20
4. بوربوينت التقرير الرابع تطبيقات القطع المكافئ والقطع الناقص في التقنيات الحديثة والفلك
تاريخ ووقت الإضافة: 2026-03-26 12:58:48
5. بوربوينت التقرير الثالث تطبيقات حياتية للقطوع المكافئة والناقصة في تصميم الجسور والممرات
تاريخ ووقت الإضافة: 2026-03-26 12:57:08
6. بوربوينت التقرير الثاني توظيف التكامل والقطوع المكافئة في تصميم المجسمات والمصابيح
تاريخ ووقت الإضافة: 2026-03-26 12:55:12
7. بوربوينت التقرير الأول استخدام تطبيقات التكامل والقطوع المكافئة في الحياة العملية
تاريخ ووقت الإضافة: 2026-03-26 12:53:21
8. بوربوينت 7-4 الحصة الثانية الاختلاف المركزي تطبيقات على إيجاد أطوال المحاور
تاريخ ووقت الإضافة: 2026-03-26 12:36:52
9. بوربوينت 7-4 الحصة الأولى الاختلاف المركزي تحديد نوع القطع المخروطي
تاريخ ووقت الإضافة: 2026-03-26 12:35:31
10. بوربوينت 7-3 الحصة الثالثة القطع الزائد إيجاد المعادلة بمعلومية رأس ونقطة
تاريخ ووقت الإضافة: 2026-03-26 12:29:09
11. بوربوينت 7-3 الحصة الثانية القطع الزائد إيجاد المعادلة بمعلومية البؤرتين والرأسين
تاريخ ووقت الإضافة: 2026-03-26 12:25:45
12. بوربوينت 7-3 الحصة الأولى القطع الزائد تعريفه وعناصره ومعادلته
تاريخ ووقت الإضافة: 2026-03-26 12:23:59
13. بوربوينت 7-2 الحصة الثانية القطع الناقص تطبيقات حياتية وحلول متنوعة
تاريخ ووقت الإضافة: 2026-03-26 12:14:21
14. بوربوينت 7-2 الحصة الثانية القطع الناقص تطبيقات على إيجاد المعادلة والعناصر
تاريخ ووقت الإضافة: 2026-03-26 12:11:51
15. بوربوينت 7-2 الحصة الأولى القطع الناقص تعريفه وعناصره ومعادلته
تاريخ ووقت الإضافة: 2026-03-26 12:00:48
هل تريد ملفات لمادة أخرى لقسم الصف الثاني عشر العلمي, الفصل الثاني ؟ اخترها
اسم المادةعدد الملفات
كيمياء 139
علوم 138
فيزياء 131
التربية 1
فلسفة 1
الامتحانات 1
لغة انجليزية 1

أحدث ملفات الصف الثاني عشر العلمي
1. رياضيات, الفصل الثاني, 2025/2026, بوربوينت التقرير السابع استكشاف متكامل لحجوم الدوران والقطوع الزائدية في سياقات حياتية وفلكية
قبل 3 أيام | المشاهدات: 49
2. رياضيات, الفصل الثاني, 2025/2026, بوربوينت التقرير السادس تطبيقات القطع الزائد والاختلاف المركزي في مسارات المركبات الفضائية وحركة الكواكب
قبل 3 أيام | المشاهدات: 45
3. رياضيات, الفصل الثاني, 2025/2026, بوربوينت التقرير الخامس تطبيقات القطع الناقص والزائد في الهندسة المعمارية واستكشاف الفضاء
قبل 3 أيام | المشاهدات: 52
4. رياضيات, الفصل الثاني, 2025/2026, بوربوينت التقرير الرابع تطبيقات القطع المكافئ والقطع الناقص في التقنيات الحديثة والفلك
قبل 3 أيام | المشاهدات: 49
5. رياضيات, الفصل الثاني, 2025/2026, بوربوينت التقرير الثالث تطبيقات حياتية للقطوع المكافئة والناقصة في تصميم الجسور والممرات
قبل 3 أيام | المشاهدات: 46
6. رياضيات, الفصل الثاني, 2025/2026, بوربوينت التقرير الثاني توظيف التكامل والقطوع المكافئة في تصميم المجسمات والمصابيح
قبل 3 أيام | المشاهدات: 51
7. رياضيات, الفصل الثاني, 2025/2026, بوربوينت التقرير الأول استخدام تطبيقات التكامل والقطوع المكافئة في الحياة العملية
قبل 3 أيام | المشاهدات: 54
8. رياضيات, الفصل الثاني, 2025/2026, بوربوينت 7-4 الحصة الثانية الاختلاف المركزي تطبيقات على إيجاد أطوال المحاور
قبل 3 أيام | المشاهدات: 57
9. رياضيات, الفصل الثاني, 2025/2026, بوربوينت 7-4 الحصة الأولى الاختلاف المركزي تحديد نوع القطع المخروطي
قبل 3 أيام | المشاهدات: 50
10. رياضيات, الفصل الثاني, 2025/2026, بوربوينت 7-3 الحصة الثالثة القطع الزائد إيجاد المعادلة بمعلومية رأس ونقطة
قبل 3 أيام | المشاهدات: 62
11. رياضيات, الفصل الثاني, 2025/2026, بوربوينت 7-3 الحصة الثانية القطع الزائد إيجاد المعادلة بمعلومية البؤرتين والرأسين
قبل 3 أيام | المشاهدات: 58
12. رياضيات, الفصل الثاني, 2025/2026, بوربوينت 7-3 الحصة الأولى القطع الزائد تعريفه وعناصره ومعادلته
قبل 3 أيام | المشاهدات: 62
13. رياضيات, الفصل الثاني, 2025/2026, بوربوينت 7-2 الحصة الثانية القطع الناقص تطبيقات حياتية وحلول متنوعة
قبل 3 أيام | المشاهدات: 51
14. رياضيات, الفصل الثاني, 2025/2026, بوربوينت 7-2 الحصة الثانية القطع الناقص تطبيقات على إيجاد المعادلة والعناصر
قبل 3 أيام | المشاهدات: 53
15. رياضيات, الفصل الثاني, 2025/2026, بوربوينت 7-2 الحصة الأولى القطع الناقص تعريفه وعناصره ومعادلته
قبل 3 أيام | المشاهدات: 45
اضغط للمزيد من ملفات الصف الثاني عشر العلمي

أحدث ملفات الصف الثاني عشر العلمي, لغة انجليزية, الفصل الثاني
1. شرح فصل الحث الكهرومغناطيسي
تاريخ ووقت الإضافة: 2024-04-25 07:51:09
هل تريد ملفات لمادة أخرى لقسم الصف الثاني عشر العلمي, الفصل الثاني ؟ اخترها
اسم المادةعدد الملفات
رياضيات 204
كيمياء 139
علوم 138
فيزياء 131
التربية 1
فلسفة 1
الامتحانات 1