×

حمّل تطبيق المناهج الآن وتمتّع بتجربة أسرع وأسهل في الوصول إلى الملفات والاختبارات.

تمارين أسئلة حاول أن تحل, الصف العاشر, رياضيات, الفصل الثاني, 2017-2018 - المناهج الكويتية
الملاحظات المثبتة في المناهج الكويتية
أهلاً بكم جميعاً طلاباً ومدرسين وأهالي طلبة ومهتمين، في قسم دولة الكويت ، نحن الآن في الفصل الأول من العام الدراسي 2025/2026 وتاريخ اليوم 2026/03/25 م
تنويه: المناهج الكويتية هو موقع مجاني وغير رسمي ولا يتطلب اشتراك لتحميل الملفات، لذلك يرجى عدم دفع أي مبلغ أو الاشتراك من أجل تحميل الملفات.
📅 الملاحظة القادمة في التقويم المدرسي - الفصل الأول: نهاية تسجيل طلبات نقل الهيئة التعليمية في رياض الأطفال والمتعلمين في 2026-03-31
أنت هنا: موقع المناهجالمناهج الكويتية الصف العاشر رياضيات الفصل الثاني ملخصات وتقارير
×

تنويه:
جميع الملفات المنشورة في موقع المناهج هي من إعداد المعلمين أو مستخدمينا الكرام، وتُستخدم لأغراض تعليمية غير ربحية.
في حال وجود أي بلاغ متعلق بحقوق النشر، نرجو التواصل معنا عبر الضغط هنا
وسيتم التعامل مع الطلب وحذف المحتوى المخالف خلال 24 ساعة.

تمارين أسئلة حاول أن تحل
السابق: نموذج اختبار قصير الملف الحالي: 368 التالي: مذكرة مراجعة شاملة تضم الحضارات القديمة والتطورات السياسية والاجتماعية عبر العصور
المادة: رياضيات
الصف العاشر
الفصل الثاني
القسم: ملخصات وتقارير
العام الدراسي: 2017-2018

معلومات الملف:

ملخص في مادة الرياضيات للصف العاشر للفصل الدراسي الثاني عدد اوراق هذا الملف 27 ورقة ويتضمن حاول ان تحل لاسئلة مهمة

عدد الصفحات: 27
نوع الملف: PDF
الحجم: 2.2ميفابايت
تاريخ إضافة الملف: 2018-02-24 06:02:34 بتوقيت غرينتش
عدد المشاهدات: 8988
توقيت آخر زيارة للملف: 2026-03-24 06:04:34
تمت إضافته بواسطة: Maya
توقيت آخر تعديل للملف: 2025-04-11 05:21:08 | تم التعديل بواسطة: maya2018kw
رابط التحميل

تم إيجاد الملف: تمارين أسئلة حاول أن تحل

_رياضيات_ملخص_فصل2.pdf
يتم الآن تحضير الملف (تمارين أسئلة حاول أن تحل) من أجل التحميل

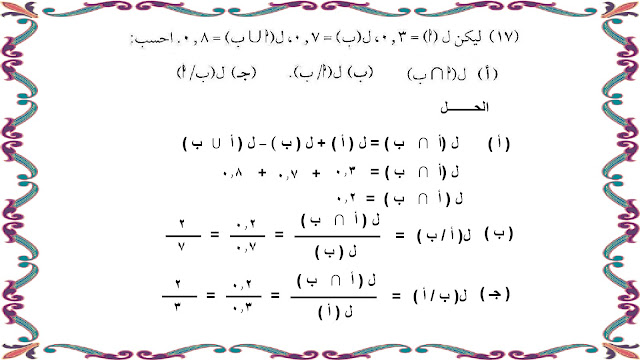
صورة تعبيرية من الملف:

شارك هذا الملف
البحث عن ملف بحسب الدولة و الصف والمادة والفصل

أحدث ملفات الصف العاشر, رياضيات, الفصل الثاني
1. نماذج الاختبار التقويمي الأول مع الإجابات منهاج جديد
تاريخ ووقت الإضافة: 2026-03-12 11:43:04
2. أوراق عمل الوحدة الأولى مملكة الحيوان مع نموذج الإجابات منهاج جديد
تاريخ ووقت الإضافة: 2026-03-12 00:42:38
3. أوراق عمل مراجعة الوحدة السادسة مع نموذج الإجابة منهاج جديد
تاريخ ووقت الإضافة: 2026-03-11 23:20:44
4. خطة توزيع المنهج لعام 2026م
تاريخ ووقت الإضافة: 2026-03-11 22:17:49
5. نماذج الامتحان التقويمي الأول مع الإجابة
تاريخ ووقت الإضافة: 2026-03-07 13:32:35
6. نماذج الامتحان التقويمي الأول
تاريخ ووقت الإضافة: 2026-03-07 13:30:42
7. أسئلة التمارين الموضوعية هندسة الدائرة
تاريخ ووقت الإضافة: 2026-03-07 13:27:45
8. حلول التمارين الموضوعية هندسة الدائرة
تاريخ ووقت الإضافة: 2026-03-07 13:26:05
9. العنوان إجابة نماذج للاختبار التقويمي الأول منهاج جديد
تاريخ ووقت الإضافة: 2026-03-07 13:23:44
10. نماذج للاختبار التقويمي الأول غير محلول منهاج جديد
تاريخ ووقت الإضافة: 2026-03-07 13:22:45
11. حلول مذكرة سر التفوق مراجعة شاملة للوحدة السادسة هندسة الدائرة
تاريخ ووقت الإضافة: 2026-02-01 14:18:18
12. مذكرة سر التفوق مراجعة شاملة للوحدة السادسة هندسة الدائرة غير محلول
تاريخ ووقت الإضافة: 2026-02-01 14:17:29
13. الفلاح أسئلة الوحدة السادسة هندسة الدائرة الواردة في الامتحانات السابقة
تاريخ ووقت الإضافة: 2026-02-01 13:56:02
14. الفلاح حلول مجموعة الأسئلة الموضوعية في الامتحانات السابقة
تاريخ ووقت الإضافة: 2026-02-01 13:48:51
15. الفلاح مجموعة الأسئلة الموضوعية في الامتحانات السابقة غير محلولة
تاريخ ووقت الإضافة: 2026-02-01 13:45:43
هل تريد ملفات لمادة أخرى لقسم الصف العاشر, الفصل الثاني ؟ اخترها
اسم المادةعدد الملفات
لغة عربية 200
علوم 198
فيزياء 144
كيمياء 142
لغة انجليزية 138
تربية اسلامية 55
تاريخ 53
اجتماعيات 4
التربية 3
الامتحانات 1
تقنية المعلومات 1

أحدث ملفات الصف العاشر
1. تاريخ, الفصل الثاني, 2025/2026, مذكرة مراجعة شاملة تضم الحضارات القديمة والتطورات السياسية والاجتماعية عبر العصور
قبل 2 أيام | المشاهدات: 173
2. تربية اسلامية, الفصل الثاني, 2025/2026, مذكرة مراجعة قرآن تضم آيات من سور المنافقون والجمعة والأنعام وأحكام التجويد المتعلقة بأنواع المد وقواعد همزتي الوصل والقطع منهاج جديد
قبل 2 أيام | المشاهدات: 137
3. كيمياء, الفصل الثاني, 2025/2026, مذكرة مراجعة شاملة تضم التفاعلات الكيميائية وموازنة المعادلات الكيميائية والمول والكتلة المولية الذرية والجزيئية وحساب النسب المئوية
قبل 2 أيام | المشاهدات: 141
4. فيزياء, الفصل الثاني, 2025/2026, مذكرة مراجعة شاملة الحركة التوافقية البسيطة وخصائص الحركة والشحنات والقوى الكهربائية منهاج جديد
قبل 2 أيام | المشاهدات: 125
5. تربية اسلامية, الفصل الثاني, 2025/2026, مذكرة مراجعة شاملة تضم الشرك الأكبر وأنواعه وتدريبات تقويمية متنوعة منهاج جديد
قبل 2 أيام | المشاهدات: 115
6. لغة انجليزية, الفصل الثاني, 2025/2026, مذكرة مراجعة شاملة تضم القواعد الأساسية كالجمل الشرطية والمفردات اللغوية والتدريبات على القراءة والفهم ونماذج موضوعات تعبير منهاج جديد
قبل 1 أسبوع | المشاهدات: 195
7. علوم, الفصل الثاني, 2025/2026, مذكرة مراجعة شاملة تضم تصنيف الحيوانات والتركيب الوظيفي للأجهزة الحيوية منهاج جديد
قبل 2 أيام | المشاهدات: 122
8. لغة عربية, الفصل الثاني, 2025/2026, مذكرة مراجعة شاملة تضم القواعد النحوية المتعلقة بحروف الجر ومعانيها وعملها وتدريبات تطبيقية على تحليل الجمل منهاج جديد
قبل 2 أيام | المشاهدات: 108
9. اجتماعيات, الفصل الثاني, 2025/2026, الغزو العراقي للكويت وترسيم الحدود تحليل شامل للأحداث والتداعيات
قبل 5 أيام | المشاهدات: 130
10. لغة انجليزية, الفصل الثاني, 2025/2026, نماذج الاختبار التقويمي الأول مع الإجابات يشمل 3 نماذج منهاج جديد
قبل 1 أسبوع | المشاهدات: 162
11. لغة انجليزية, الفصل الثاني, 2025/2026, مراجعة شاملة للاختبار التقويمي للوحدات من السابعة إلى التاسعة منهاج جديد
قبل 1 أسبوع | المشاهدات: 117
12. رياضيات, الفصل الثاني, 2025/2026, نماذج الاختبار التقويمي الأول مع الإجابات منهاج جديد
قبل 1 أسبوع | المشاهدات: 139
13. كيمياء, الفصل الثاني, 2025/2026, نموذج الاختبار التجريبي القصير الأول مع الإجابات منهاج جديد
قبل 1 أسبوع | المشاهدات: 140
14. كيمياء, الفصل الثاني, 2025/2026, مراجعة الاختبار القصير الأول مع نموذج الإجابة منهاج جديد
قبل 1 أسبوع | المشاهدات: 108
15. فيزياء, الفصل الثاني, 2025/2026, نماذج اختبارات تجريبية قصيرة أولى مع نماذج الإجابة منهاج جديد
قبل 1 أسبوع | المشاهدات: 140
اضغط للمزيد من ملفات الصف العاشر

أحدث ملفات الصف العاشر, تقنية المعلومات, الفصل الثاني
1. تحميل كتاب الطالب
تاريخ ووقت الإضافة: 2019-01-26 07:50:55
هل تريد ملفات لمادة أخرى لقسم الصف العاشر, الفصل الثاني ؟ اخترها
اسم المادةعدد الملفات
لغة عربية 200
علوم 198
رياضيات 189
فيزياء 144
كيمياء 142
لغة انجليزية 138
تربية اسلامية 55
تاريخ 53
اجتماعيات 4
التربية 3
الامتحانات 1