الملاحظات المثبتة في المناهج الإماراتية
أهلاً بكم جميعاً طلاباً ومدرسين وأهالي طلبة ومهتمين، في قسم دولة الإمارات ، نحن الآن في الفصل الأول من العام الدراسي 2025/2026 وتاريخ اليوم 2025/11/20 م
تنويه: المناهج الإماراتية هو موقع مجاني وغير رسمي ولا يتطلب اشتراك لتحميل الملفات، لذلك يرجى عدم دفع أي مبلغ أو الاشتراك من أجل تحميل الملفات.
الجداول التفاعلية لامتحان نهاية الفصل الأول للصفوف من الثالث إلى الثاني عشر
📆 الملاحظة القادمة في التقويم المدرسي - الفصل الأول: إجازة اليوم الوطني. في 2025-12-02
📌 الخطة الدراسية الرسمية المعتمدة للعام الدراسي 2025-2026
📌 تنويه: موقع المناهج لا ينشر أي إعلان أو روابط تخص منصة ألف، وعليه نرجو منكم الخروج من المجموعات التي تضع شعار الموقع والتي تقوم بالترويج لحلول منصة ألف
🆕 وزارة التربية والتعليم تكشف تفاصيل التقويم الأكاديمي 2025 – 2026
اختبار نهاية الفصل لطلبة الصف الثاني عشر المتقدم التالي سيكون في مادة رياضيات بتاريخ 2025-11-24 - اضغط للحصول على ملفات مادة رياضيات واضغط هنا للحصول على ملفات هياكل مادة رياضيات
أنت هنا: موقع المناهجالمناهج الإماراتية الصف الثاني عشر المتقدم رياضيات الفصل الأول حلول
×

تنويه:
جميع الملفات المنشورة في موقع المناهج هي من إعداد المعلمين أو مستخدمينا الكرام، وتُستخدم لأغراض تعليمية غير ربحية.
في حال وجود أي بلاغ متعلق بحقوق النشر، نرجو التواصل معنا على البريد التالي:
admin@almanahj.com
وسيتم التعامل مع الطلب وحذف المحتوى المخالف خلال 24 ساعة.

تمارين عامة على الوحدة الثانية ـ محلول
السابق: تمارين عامة على الوحدة الثانية ـ غير محلول الملف الحالي: 5846 التالي: حل مراجعة وفق كامل الهيكل الوزاري الجديد منهج بريدج
المادة: رياضيات
الصف الثاني عشر المتقدم
الفصل الأول
القسم: حلول
العام الدراسي: 2018-2019

معلومات الملف: الصف الثاني عشر المتقدم, الفصل الأول, رياضيات, 2018-2019, تمارين عامة على الوحدة الثانية ـ محلول

الحجم: 0
تاريخ إضافة الملف: 2019-04-19 07:04:34 بتوقيت غرينتش
عدد المشاهدات: 4412
توقيت آخر زيارة للملف: 2025-11-18 01:45:39
تمت إضافته بواسطة: aml987
رابط تحميل وعرض ( تمارين عامة على الوحدة الثانية ـ محلول )
اضغط هنا لتحميل وعرض ( تمارين عامة على الوحدة الثانية ـ محلول )
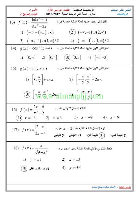
صورة تعبيرية من الملف:

لتحميل الملف اتبع الرابط

http://aefiles.website/do.php?id=2860">http://aefiles.website/do.php?id=2860

 

شارك هذا الملف
البحث عن ملف بحسب الدولة و الصف والمادة والفصل

أحدث ملفات الصف الثاني عشر المتقدم, رياضيات, الفصل الأول
1. حل مراجعة وفق كامل الهيكل الوزاري الجديد منهج بريدج
تاريخ ووقت الإضافة: 2025-11-21 00:04:07
2. حل مراجعة وفق كامل الهيكل الوزاري الجديد منهج ريفيل
تاريخ ووقت الإضافة: 2025-11-21 00:01:47
3. حل مراجعة وفق كامل الهيكل الوزاري الجديد منهج ريفيل المسار النخبة
تاريخ ووقت الإضافة: 2025-11-20 23:59:31
4. حل كراسة تدريبية مراجعة وفق الهيكل الوزاري الجديد منهج بريدج
تاريخ ووقت الإضافة: 2025-11-18 20:59:31
5. مراجعة شاملة امتحانات وزارية سابقة  وفق الهيكل الوزاري الجديد باللغتين
تاريخ ووقت الإضافة: 2025-11-15 12:17:41
6. كراسة تدريبية مراجعة وفق الهيكل الوزاري الجديد منهج بريدج
تاريخ ووقت الإضافة: 2025-11-09 15:03:41
7. مراجعة الدرس السابع Derivatives of Exponential and Logarithmic Functions مشتقة الدوال الأسية والدوال اللوغاريتمية من الوحدة الثالثة (اختبر نفسك 11)
تاريخ ووقت الإضافة: 2025-11-04 23:40:15
8. نموذج اختبار تجريبي وفق الهيكل الوزاري الجديد منهج بريدج
تاريخ ووقت الإضافة: 2025-11-04 19:50:57
9. حل ملزمة مراجعة عامة وفق الهيكل الوزاري الجديد منهج بريدج
تاريخ ووقت الإضافة: 2025-11-01 22:14:43
10. ملزمة مراجعة عامة وفق الهيكل الوزاري الجديد منهج بريدج
تاريخ ووقت الإضافة: 2025-11-01 22:12:35
هل تريد ملفات لمادة أخرى لقسم الصف الثاني عشر المتقدم, الفصل الأول ؟ اخترها
فيزياء
(301 ملف)
كيمياء
(197 ملف)
علوم
(47 ملف)
تربية اسلامية
(14 ملف)
علوم صحية
(7 ملف)
الامتحانات
(6 ملف)
لغة انجليزية
(5 ملف)
المدارس
(4 ملف)
اجتماعيات
(1 ملف)
غير ذلك
(1 ملف)
أكثر خمس كلمات زيارة اليوم بحسب: رياضيات - الصف الثاني عشر المتقدم - الفصل الأول
الكلمةالمشاهدات
exams ️ 4
هيكل ️ 4
المتقدم ️ 4
السابقة ️ 2
الورقية ️ 1
أكثر خمس كلمات الرائجة لليوم في الصف الثاني عشر المتقدم
الكلمةالمادةالمشاهدات
exams رياضيات ️ 4
هيكل رياضيات ️ 4
المتقدم رياضيات ️ 4
منه كيمياء ️ 3
صفحات كيمياء ️ 3

أحدث ملفات الصف الثاني عشر المتقدم
1. رياضيات, الفصل الأول, 2025-2026, حل مراجعة وفق كامل الهيكل الوزاري الجديد منهج بريدج
قبل 2 ساعات | المشاهدات: 25
2. رياضيات, الفصل الأول, 2025-2026, حل مراجعة وفق كامل الهيكل الوزاري الجديد منهج ريفيل
قبل 2 ساعات | المشاهدات: 26
3. رياضيات, الفصل الأول, 2025-2026, حل مراجعة وفق كامل الهيكل الوزاري الجديد منهج ريفيل المسار النخبة
قبل 2 ساعات | المشاهدات: 15
4. كيمياء, الفصل الأول, 2025-2026, تجميعة أسئلة وفق الهيكل الوزاري الجديد منهج بريدج
قبل 2 ساعات | المشاهدات: 129
5. كيمياء, الفصل الأول, 2025-2026, تجميعة أسئلة وفق الهيكل الوزاري الجديد منهج انسباير
قبل 2 ساعات | المشاهدات: 51
6. كيمياء, الفصل الأول, 2025-2026, مجموعة أسئلة متميزة من الامتحانات الوزارية خاصة بالوحدات المقررة
قبل 2 ساعات | المشاهدات: 53
7. كيمياء, الفصل الأول, 2025-2026, حل مراجعة نهائية وفق الهيكل الوزاري الجديد منهج انسباير
قبل 4 ساعات | المشاهدات: 118
8. كيمياء, الفصل الأول, 2025-2026, مراجعة نهائية وفق الهيكل الوزاري الجديد منهج انسباير
قبل 4 ساعات | المشاهدات: 96
9. كيمياء, الفصل الأول, 2025-2026, حل مراجعة نهائية وفق الهيكل الوزاري الجديد منهج بريدج
قبل 4 ساعات | المشاهدات: 147
10. كيمياء, الفصل الأول, 2025-2026, مراجعة نهائية وفق الهيكل الوزاري الجديد منهج بريدج
قبل 4 ساعات | المشاهدات: 135
11. فيزياء, الفصل الأول, 2025-2026, حل مراجعة شاملة وفق الهيكل الوزاري الجديد منهج انسباير
قبل 11 ساعات | المشاهدات: 180
12. فيزياء, الفصل الأول, 2025-2026, حل مراجعة شاملة وفق الهيكل الوزاري منهج انسباير
قبل 21 ساعات | المشاهدات: 121
13. فيزياء, الفصل الأول, 2025-2026, المراجعة الشاملة وفق الهيكل الوزاري منهج انسباير Inspire بدون الحل
قبل 22 ساعات | المشاهدات: 78
14. فيزياء, الفصل الأول, 2025-2026, شرح مراجعة نهائية مع تجميعة أسئلة امتحانات وزارية سايقة مع الحلول
قبل 22 ساعات | المشاهدات: 182
15. فيزياء, الفصل الأول, 2025-2026, مراجعة نهائية مع تجميعة أسئلة امتحانات وزارية سايقة
قبل 22 ساعات | المشاهدات: 106
اضغط للمزيد من ملفات الصف الثاني عشر المتقدم

أحدث ملفات الصف الثاني عشر المتقدم, غير ذلك, الفصل الأول
1. نصائح مھمة جداًً عن كیفیة التعامل مع الصف 12
تاريخ ووقت الإضافة: 2020-09-09 07:44:02
هل تريد ملفات لمادة أخرى لقسم الصف الثاني عشر المتقدم, الفصل الأول ؟ اخترها
رياضيات
(425 ملف)
فيزياء
(301 ملف)
كيمياء
(197 ملف)
علوم
(47 ملف)
تربية اسلامية
(14 ملف)
علوم صحية
(7 ملف)
الامتحانات
(6 ملف)
لغة انجليزية
(5 ملف)
المدارس
(4 ملف)
اجتماعيات
(1 ملف)