الملاحظات المثبتة في المناهج الإماراتية
أهلاً بكم جميعاً طلاباً ومدرسين وأهالي طلبة ومهتمين، في قسم دولة الإمارات ، نحن الآن في الفصل الأول من العام الدراسي 2025/2026 وتاريخ اليوم 2025/11/22 م
تنويه: المناهج الإماراتية هو موقع مجاني وغير رسمي ولا يتطلب اشتراك لتحميل الملفات، لذلك يرجى عدم دفع أي مبلغ أو الاشتراك من أجل تحميل الملفات.
الجداول التفاعلية لامتحان نهاية الفصل الأول للصفوف من الثالث إلى الثاني عشر
📆 الملاحظة القادمة في التقويم المدرسي - الفصل الأول: إجازة اليوم الوطني. في 2025-12-02
📌 الخطة الدراسية الرسمية المعتمدة للعام الدراسي 2025-2026
📌 تنويه: موقع المناهج لا ينشر أي إعلان أو روابط تخص منصة ألف، وعليه نرجو منكم الخروج من المجموعات التي تضع شعار الموقع والتي تقوم بالترويج لحلول منصة ألف
🆕 وزارة التربية والتعليم تكشف تفاصيل التقويم الأكاديمي 2025 – 2026
اختبار نهاية الفصل لطلبة الصف الثاني عشر العام التالي سيكون في مادة رياضيات بتاريخ 2025-11-24 - اضغط للحصول على ملفات مادة رياضيات واضغط هنا للحصول على ملفات هياكل مادة رياضيات
أنت هنا: موقع المناهجالمناهج الإماراتية الصف الثاني عشر العام رياضيات الفصل الأول ملفات متنوعة
×

تنويه:
جميع الملفات المنشورة في موقع المناهج هي من إعداد المعلمين أو مستخدمينا الكرام، وتُستخدم لأغراض تعليمية غير ربحية.
في حال وجود أي بلاغ متعلق بحقوق النشر، نرجو التواصل معنا على البريد التالي:
admin@almanahj.com
وسيتم التعامل مع الطلب وحذف المحتوى المخالف خلال 24 ساعة.

اسئلة اختيار متعدد
السابق: مذكرة بنية النبات ووظائفه الملف الحالي: 5718 التالي: مراجعة نهائية وشروحات مع الحل وفق الهيكل الوزاري الجديد من مبادرة تكاتف التعليمية
المادة: رياضيات
الصف الثاني عشر العام
الفصل الأول
القسم: ملفات متنوعة
العام الدراسي: 2018-2019

معلومات الملف: الصف الثاني عشر العام, الفصل الأول, رياضيات, 2018-2019, اسئلة اختيار متعدد

الحجم: 0
تاريخ إضافة الملف: 2019-04-19 07:04:34 بتوقيت غرينتش
عدد المشاهدات: 6611
توقيت آخر زيارة للملف: 2025-11-21 14:43:29
تمت إضافته بواسطة: aml987
رابط تحميل وعرض ( اسئلة اختيار متعدد )
اضغط هنا لتحميل وعرض ( اسئلة اختيار متعدد )
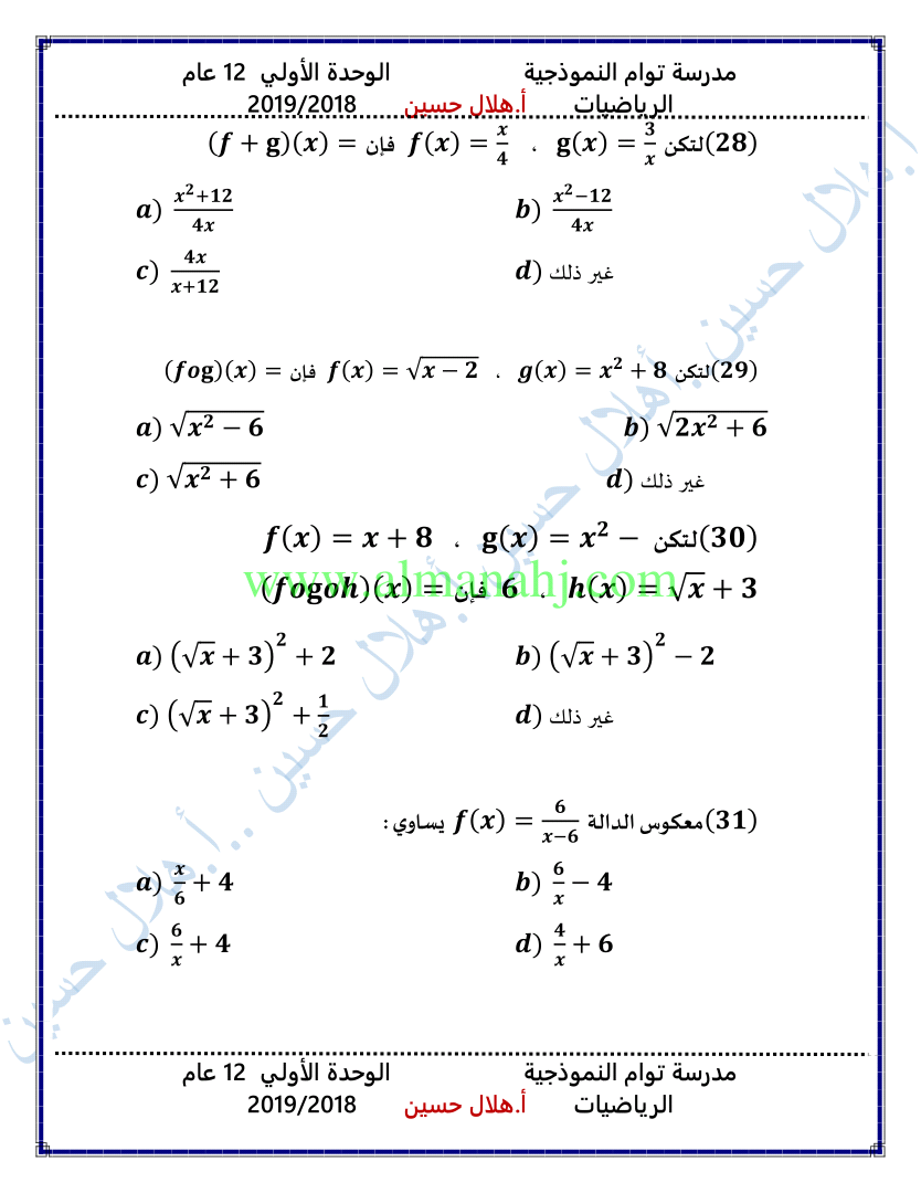
صورة تعبيرية من الملف:

لتحميل الملف اتبع الرابط

http://aefiles.website/do.php?id=2760">http://aefiles.website/do.php?id=2760

 

 
شارك هذا الملف
البحث عن ملف بحسب الدولة و الصف والمادة والفصل

أحدث ملفات الصف الثاني عشر العام, رياضيات, الفصل الأول
1. الأسئلة المتوقعة ليلة الاختبار وفق الهيكل الوزاري الجديد
تاريخ ووقت الإضافة: 2025-11-21 17:00:30
2. ملخص كامل أسئلة وفق الهيكل الوزاري باللغتين العربية والانجليزية
تاريخ ووقت الإضافة: 2025-11-21 16:56:47
3. ملخص أسئلة الهيكل الوزاري الجديد مع الأسئلة المتوقعة للاختبار النهائي
تاريخ ووقت الإضافة: 2025-11-21 15:47:17
4. حل الأسئلة الكتابية (السؤال 25) وفق الهيكل الوزاري الجديد منهج بريدج وريفيل
تاريخ ووقت الإضافة: 2025-11-21 13:33:45
5. حل الأسئلة الكتابية (24-21) وفق الهيكل الوزاري الجديد منهج بريدج وريفيل
تاريخ ووقت الإضافة: 2025-11-21 13:29:35
6. حل الأسئلة الموضوعية (20-16) وفق الهيكل الوزاري الجديد منهج بريدج وريفيل
تاريخ ووقت الإضافة: 2025-11-21 13:25:51
7. حل الأسئلة الموضوعية (11-15) وفق الهيكل الوزاري الجديد منهج بريدج وريفيل
تاريخ ووقت الإضافة: 2025-11-21 13:23:12
8. حل الأسئلة الموضوعية (6-10) وفق الهيكل الوزاري الجديد منهج بريدج وريفيل
تاريخ ووقت الإضافة: 2025-11-21 13:17:17
9. حل الأسئلة الموضوعية (1-5) وفق الهيكل الوزاري الجديد منهج بريدج وريفيل
تاريخ ووقت الإضافة: 2025-11-21 13:11:05
10. حل مراجعة وفق كامل الهيكل الوزاري الجديد منهج ريفيل
تاريخ ووقت الإضافة: 2025-11-21 00:06:59
هل تريد ملفات لمادة أخرى لقسم الصف الثاني عشر العام, الفصل الأول ؟ اخترها
علوم
(85 ملف)
فيزياء
(66 ملف)
كيمياء
(34 ملف)
الامتحانات
(10 ملف)
لغة انجليزية
(5 ملف)
المدارس
(4 ملف)
علوم صحية
(3 ملف)
تربية اسلامية
(3 ملف)
تصميم
(2 ملف)
أكثر خمس كلمات زيارة اليوم بحسب: رياضيات - الصف الثاني عشر العام - الفصل الأول
الكلمةالمشاهدات
keys ️ 8
هيكل ️ 4
الرياضية ️ 3
مخرجات ️ 3
exams ️ 3
أكثر خمس كلمات الرائجة لليوم في الصف الثاني عشر العام
الكلمةالمادةالمشاهدات
التي تربية اسلامية ️ 8
keys رياضيات ️ 8
الإظهار تربية اسلامية ️ 7
شعري لغة عربية ️ 6
معلوماتي لغة عربية ️ 6

أحدث ملفات الصف الثاني عشر العام
1. لغة عربية, الفصل الأول, 2025-2026, مراجعة نهائية وشروحات مع الحل وفق الهيكل الوزاري الجديد من مبادرة تكاتف التعليمية
قبل 4 ساعات | المشاهدات: 100
2. رياضيات, الفصل الأول, 2025-2026, الأسئلة المتوقعة ليلة الاختبار وفق الهيكل الوزاري الجديد
قبل 11 ساعات | المشاهدات: 200
3. رياضيات, الفصل الأول, 2025-2026, ملخص كامل أسئلة وفق الهيكل الوزاري باللغتين العربية والانجليزية
قبل 11 ساعات | المشاهدات: 107
4. رياضيات, الفصل الأول, 2025-2026, ملخص أسئلة الهيكل الوزاري الجديد مع الأسئلة المتوقعة للاختبار النهائي
قبل 12 ساعات | المشاهدات: 117
5. رياضيات, الفصل الأول, 2025-2026, حل الأسئلة الكتابية (السؤال 25) وفق الهيكل الوزاري الجديد منهج بريدج وريفيل
قبل 14 ساعات | المشاهدات: 181
6. رياضيات, الفصل الأول, 2025-2026, حل الأسئلة الكتابية (24-21) وفق الهيكل الوزاري الجديد منهج بريدج وريفيل
قبل 14 ساعات | المشاهدات: 99
7. رياضيات, الفصل الأول, 2025-2026, حل الأسئلة الموضوعية (20-16) وفق الهيكل الوزاري الجديد منهج بريدج وريفيل
قبل 14 ساعات | المشاهدات: 86
8. رياضيات, الفصل الأول, 2025-2026, حل الأسئلة الموضوعية (11-15) وفق الهيكل الوزاري الجديد منهج بريدج وريفيل
قبل 14 ساعات | المشاهدات: 96
9. رياضيات, الفصل الأول, 2025-2026, حل الأسئلة الموضوعية (6-10) وفق الهيكل الوزاري الجديد منهج بريدج وريفيل
قبل 14 ساعات | المشاهدات: 71
10. رياضيات, الفصل الأول, 2025-2026, حل الأسئلة الموضوعية (1-5) وفق الهيكل الوزاري الجديد منهج بريدج وريفيل
قبل 15 ساعات | المشاهدات: 89
11. رياضيات, الفصل الأول, 2025-2026, حل مراجعة وفق كامل الهيكل الوزاري الجديد منهج ريفيل
قبل 1 يوم | المشاهدات: 163
12. رياضيات, الفصل الأول, 2025-2026, حل مراجعة وفق كامل الهيكل الوزاري الجديد منهج بريدج
قبل 1 يوم | المشاهدات: 151
13. كيمياء, الفصل الأول, 2025-2026, حل مراجعة نهائية وفق الهيكل الوزاري الجديد منهج بريدج
قبل 1 يوم | المشاهدات: 388
14. كيمياء, الفصل الأول, 2025-2026, مراجعة وفق الهيكل الوزاري الجديد المسار C-101 منهج بريدج
قبل 1 يوم | المشاهدات: 258
15. كيمياء, الفصل الأول, 2024-2025, حل أسئلة مراجعة عامة القسم الالكتروني المسار M
قبل 1 يوم | المشاهدات: 336
اضغط للمزيد من ملفات الصف الثاني عشر العام

أحدث ملفات الصف الثاني عشر العام, تصميم, الفصل الأول
1. عرض بوربوينت Answers all activities CDI
تاريخ ووقت الإضافة: 2020-10-30 12:38:07
2. مراجعة شاملة 2019
تاريخ ووقت الإضافة: 2020-08-03 07:52:59
هل تريد ملفات لمادة أخرى لقسم الصف الثاني عشر العام, الفصل الأول ؟ اخترها
رياضيات
(241 ملف)
علوم
(85 ملف)
فيزياء
(66 ملف)
كيمياء
(34 ملف)
الامتحانات
(10 ملف)
لغة انجليزية
(5 ملف)
المدارس
(4 ملف)
علوم صحية
(3 ملف)
تربية اسلامية
(3 ملف)