تعد مادة الرياضيات للمرحلة المتوسطة حجر الزاوية في بناء التفكير المنطقي والرياضي لدى الطلاب، وخاصة موضوع المعادلات الجبرية. يتناول هذا الاختبار مجموعة من المفاهيم الأساسية مثل حل المعادلات الخطية، والتعامل مع القيمة المطلقة، وترجمة المسائل اللفظية إلى عبارات جبرية صحيحة، بالإضافة إلى قراءة التمثيلات البيانية على خط الأعداد واستخدام مقاييس الرسم في حل المشكلات الحياتية. يهدف الاختبار إلى قياس قدرة الطالب على تبسيط التعابير الرياضية والوصول إلى قيم المتغيرات بدقة.
رقم الاختبار320
الصفثالث متوسط
المادةرياضيات
الفصلالفصل الثاني
السنة الدراسية2025/2026
عدد الأسئلة16
إجمالي النقاط16
تاريخ الإضافة2026-04-22
الزيارات12
المعلم أو الناشرMaya Dayoub
اختر إجابة واحدة لكل سؤال. عند الاختيار ستظهر النتيجة فورًا: الأخضر صحيح، والأحمر خطأ، وسيظهر تفسير الإجابة مباشرة إن كان متوفرًا. وبعد آخر سؤال ستظهر الدرجة النهائية تلقائيًا.
السؤال 1
النقاط: 1
السؤال الأول: العدد النسبي الذي تمثله النقطة س على خط الأعداد هو:
تفسير الإجابة
بناءً على موقع النقطة س على خط الأعداد الموضح في الصورة، فإن القيمة المقابلة لها هي ٠.١٣.
بإجراء العمليات الحسابية داخل الأقواس أولاً: (٢٠ - ٣) = ١٧، و(١٠ + ٥) = ١٥. ثم عملية الطرح: ١٧ - ١٥ = ٢.
السؤال 3
النقاط: 1
السؤال الثالث: في الرسم المجاور مخطط لأحد الأحياء، إذا كان المقياس (الوحدة المربعة = ٧.٥ م × ٧.٥ م)، فكم يبعد منزل المعلم عن المسجد بالأمتار؟
تفسير الإجابة
يتم حساب المسافة عن طريق عد الوحدات المربعة الفاصلة بين منزل المعلم والمسجد في المخطط وضربها في مقياس الرسم المعطى.
السؤال 4
النقاط: 1
السؤال: يمشي عمار مسافة س كم كل يوم أيام الأحد والثلاثاء والخميس، ما العبارة الجبرية التي تمثل مجموع الكيلومترات التي يقطعها في هذه الأيام؟
تفسير الإجابة
بما أن عمار يمشي المسافة (س) لمدة ثلاثة أيام، فإن المجموع الكلي هو حاصل ضرب عدد الأيام في المسافة المقطوعة يومياً.
السؤال 5
النقاط: 1
السؤال: يحتاج وليد كي يصمم لوحة زجاجية إلى أن يكون خمس الزجاج أزرق اللون. فإذا استعمل ٢٨٨ سنتمتراً مربعاً من الزجاج الأزرق، فما كمية الزجاج الكلية التي استعملها وليد في تصميم اللوحة بالسنتيمتر المربع؟
تفسير الإجابة
بما أن ٢٨٨ تمثل الخمس (١/٥) من المساحة الكلية، فإن المساحة الكلية = ٢٨٨ × ٥ = ١٤٤٠ سم٢.
تم تحديد الخيار (ج) كإجابة صحيحة بناءً على مفتاح الحل الملحق بالملف.
السؤال 7
النقاط: 1
مربع محيطه ٢٠ سم، ما مساحته؟ (راجع الجدول المرفق)
تفسير الإجابة
تم اختيار الخيار (د) بناءً على مفتاح الحل الملحق بالملف.
السؤال 8
النقاط: 1
قام محمد باتباع نظام غذائي لتخفيض الوزن، وبعد مرور أشهر فقد ١٠% من وزنه الأصلي. خلال الشهر الرابع نقص ٣ كغم إضافية، فإذا كان ما نقص من وزن محمد ٢٣ كغم خلال أربعة أشهر، فكم كان وزنه الأصلي بالكيلوغرام؟
تفسير الإجابة
تم تحديد الخيار ١٠٠ كجم بناءً على مفتاح الحل المرفق بالملف.
السؤال 9
النقاط: 1
السؤال الثالث: إذا كان متوازي الأضلاع أ ب ج د يطابق متوازي الأضلاع هـ و ز ح، فإن قيمة س تساوي:
تفسير الإجابة
بما أن الشكلين متطابقان، فإن الأضلاع المتناظرة متساوية في الطول، وبالتعويض في المعادلة المستخرجة من الشكل نجد أن س = ٢٤.
السؤال 10
النقاط: 1
ماهي قيمة م بالمعادلة التالية: م + ن + ٢٠ = ٣ن + ١٢٣ ؟
تفسير الإجابة
بناءً على مفتاح الحل، القيمة الصحيحة لـ م هي ١١٧.
السؤال 11
النقاط: 1
ما مجموعة حل المعادلة التالية؟ ٢(س - ٤) + ٣ = ٢س - ٥
تفسير الإجابة
بتبسيط المعادلة: ٢س - ٨ + ٣ = ٢س - ٥، لتصبح ٢س - ٥ = ٢س - ٥. وبما أن الطرفين متطابقان، فإن أي عدد حقيقي يحقق المعادلة.
السؤال 12
النقاط: 1
قيمة العبارة الجبرية ص ( ٢ | ٣ + س | - ٥ ) عندما ص=٣، س= -٢ هي:
تفسير الإجابة
بالتعويض عن قيم ص وس في التعبير الرياضي وإجراء العمليات الحسابية اللازمة نصل للناتج ٥٤ وفقاً لمفتاح الحل.
السؤال 13
النقاط: 1
المعادلة التي تتضمن القيمة المطلقة للتمثيل الآتي هي:
تفسير الإجابة
يتم تحديد المعادلة التي تعبر عن المسافة بين النقاط الممثلة على خط الأعداد ونقطة المنتصف.
السؤال 14
النقاط: 1
أي القيم الآتية أكبر من (-٤) ؟ (راجع الجدول المرفق)
تفسير الإجابة
بالمقارنة بين القيم المعطاة في الجدول، فإن القيمة الموجودة في الخيار (ب) هي الوحيدة الأكبر من القيمة -٤.
السؤال 15
النقاط: 1
مجموعة حل المعادلة |س - ٦| = ١١ هي: (راجع الجدول المرفق)
تفسير الإجابة
بحل معادلة القيمة المطلقة: س - ٦ = ١١ تعطي س = ١٧، وس - ٦ = -١١ تعطي س = -٥. مجموعة الحل هي {١٧، -٥} وهي الممثلة في الخيار (ب).
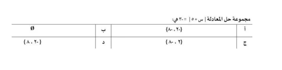
السؤال 16
النقاط: 1
مجموعة حل المعادلة |س + ٥| = -٢ هي: (راجع الجدول المرفق)
تفسير الإجابة
بما أن ناتج القيمة المطلقة لأي تعبير يجب أن يكون موجباً أو صفراً دائماً، فإنه لا يمكن أن يساوي قيمة سالبة مثل -٢، لذا فإن مجموعة الحل هي المجموعة الخالية (\emptyset).
متابعة النتيجة
تمت الإجابة0 / 16
الإجابات الصحيحة0
الإجابات الخاطئة0
النسبة الحالية0%
انتهى الاختبار
هذه نتيجتك النهائية بعد الإجابة عن جميع الأسئلة.
النتيجة النهائية
0/160%
الإجابات الصحيحة0
الإجابات الخاطئة0
الأسئلة المجابة0 / 16
إجمالي النقاط الممكنة16
يمكنك إعادة فتح الصفحة لبدء المحاولة من جديد.
🍪
إشعار ملفات تعريف الارتباط
يستخدم هذا الموقع ملفات تعريف الارتباط لتحسين تجربة التصفح وقياس الأداء وعرض المحتوى بشكل أفضل.
باستخدامك للموقع فإنك توافق على استخدامنا لها وفق
سياسة الخصوصية.