×

حمّل تطبيق المناهج الآن وتمتّع بتجربة أسرع وأسهل في الوصول إلى الملفات والاختبارات.

دفتر متابعة الطالب, الصف الحادي عشر العلمي, فيزياء, الفصل الثاني, 2017-2018 - المناهج الكويتية
الملاحظات المثبتة في المناهج الكويتية
أهلاً بكم جميعاً طلاباً ومدرسين وأهالي طلبة ومهتمين، في قسم دولة الكويت ، نحن الآن في الفصل الأول من العام الدراسي 2025/2026 وتاريخ اليوم 2026/03/29 م
تنويه: المناهج الكويتية هو موقع مجاني وغير رسمي ولا يتطلب اشتراك لتحميل الملفات، لذلك يرجى عدم دفع أي مبلغ أو الاشتراك من أجل تحميل الملفات.
📅 الملاحظة القادمة في التقويم المدرسي - الفصل الأول: نهاية تسجيل طلبات نقل الهيئة التعليمية في رياض الأطفال والمتعلمين في 2026-03-31
أنت هنا: موقع المناهجالمناهج الكويتية الصف الحادي عشر العلمي فيزياء الفصل الثاني كتب للطالب
×

تنويه:
جميع الملفات المنشورة في موقع المناهج هي من إعداد المعلمين أو مستخدمينا الكرام، وتُستخدم لأغراض تعليمية غير ربحية.
في حال وجود أي بلاغ متعلق بحقوق النشر، نرجو التواصل معنا عبر الضغط هنا
وسيتم التعامل مع الطلب وحذف المحتوى المخالف خلال 24 ساعة.

دفتر متابعة الطالب
السابق: الموضوعات التي تم تعليقها في الفترة الثانية الملف الحالي: 525 التالي: بوربوينت هندسة الفضاء حالات تعيين المستوى في الفضاء 2
المادة: فيزياء
الصف الحادي عشر العلمي
الفصل الثاني
القسم: كتب للطالب
العام الدراسي: 2017-2018

معلومات الملف:

دفتر متابعة الطلب في مادة الفيزياء للصف الحادي عشر العلمي للفصل الدراسي الثاني عدد اوراق هذا الملف 63 ورقة ويتضمن درجة الحرارة والاتزان الحراري والسعة الحرارية النوعية وقانون التبادل الحراري وكذلك تطبيقات على التمدد الطولي والمزدوجة الحرارية والتمدد الحجمي والسوائل وكما يحوي شذوذ الماء والغليان والتجمد ومنحني التسخين والتبريد وغيرها من الدروس مع الاجابة

عدد الصفحات: 63
نوع الملف: PDF
الحجم: 2.9MB
تاريخ إضافة الملف: 2018-03-09 06:03:34 بتوقيت غرينتش
عدد المشاهدات: 14581
توقيت آخر زيارة للملف: 2026-03-28 23:13:02
تمت إضافته بواسطة: Maya
رابط التحميل

تم إيجاد الملف: دفتر متابعة الطالب

_عشر_علمي_فيزياء_دفتر_متابعة_الطالب.pdf
يتم الآن تحضير الملف (دفتر متابعة الطالب) من أجل التحميل

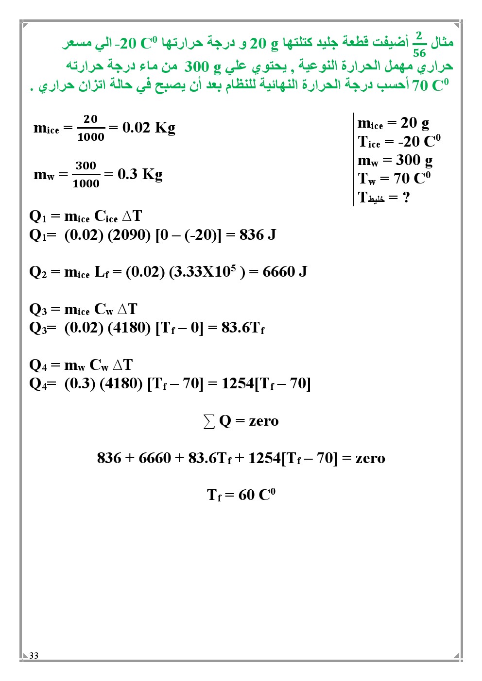
صورة تعبيرية من الملف:

شارك هذا الملف
البحث عن ملف بحسب الدولة و الصف والمادة والفصل

أحدث ملفات الصف الحادي عشر العلمي, فيزياء, الفصل الثاني
1. مذكرة مراجعة شاملة تضم الحرارة والاتزان الحراري والقياسات الحرارية والتمدد الحراري والطاقة وتغيرات الحالة والكهرباء والمغناطيسية منهاج جديد
تاريخ ووقت الإضافة: 2026-03-22 17:14:19
2. الوحدة الرابعة الدرس الرابع القدرة الكهربائية والطاقة المستهلكة
تاريخ ووقت الإضافة: 2026-03-09 13:56:59
3. الوحدة الرابعة الدرس الثالث المقاومة الكهربائية وقانون أوم
تاريخ ووقت الإضافة: 2026-03-09 13:55:46
4. الوحدة الرابعة الدرس الثاني التيار الكهربائي ومصدر الجهد
تاريخ ووقت الإضافة: 2026-03-09 13:54:24
5. الوحدة الثالثة الدرس الأول المجالات الكهربائية وخطوط المجالات الكهربائية
تاريخ ووقت الإضافة: 2026-03-09 13:48:43
6. الوحدة الثالثة الدرس الثاني المكثفات
تاريخ ووقت الإضافة: 2026-03-09 13:47:25
7. الوحدة الثانية شرح وتطبيقات الدرس الرابع الطاقة وتغيرات الحالة
تاريخ ووقت الإضافة: 2026-03-09 13:13:10
8. الوحدة الثانية شرح وتطبيقات الدرس الثالث التمدد الحراري
تاريخ ووقت الإضافة: 2026-03-09 13:12:06
9. الوحدة الثانية الدرس الثاني القياسات الحرارية مع شرح وتطبيقات
تاريخ ووقت الإضافة: 2026-03-09 13:10:49
10. الوحدة الدرس الأول الحرارة والاتزان الحراري مع شرح وتطبيقات
تاريخ ووقت الإضافة: 2026-03-09 13:09:29
11. بنك أسئلة يشمل الوحدة الثانية المادة والحرارة والوحدة الثالثة الكهرباء والمغناطيسية والوحدة الرابعة الضوء غير محلول منهاج جديد
تاريخ ووقت الإضافة: 2026-03-08 15:46:37
12. إجابة بنك أسئلة يشمل الوحدة الثانية المادة والحرارةوالوحدة الثالثة الكهرباء والمغناطيسية والوحدة الرابعة الضوء منهاج جديد
تاريخ ووقت الإضافة: 2026-03-08 15:45:09
13. نموذج الإجابة الرسمي امتحان الفترة الدراسية الثانية
تاريخ ووقت الإضافة: 2025-05-25 12:47:50
14. أسئلة امتحان نهاية الفترة الدراسية الثانية دون إجابة
تاريخ ووقت الإضافة: 2025-05-25 12:32:05
15. توقعات نهائية للاختبار القصير الثاني (إجابة)
تاريخ ووقت الإضافة: 2025-05-11 21:51:39
هل تريد ملفات لمادة أخرى لقسم الصف الحادي عشر العلمي, الفصل الثاني ؟ اخترها
اسم المادةعدد الملفات
علوم 110
كيمياء 104
جيولوجيا 98
رياضيات 93
التربية 1
الامتحانات 1

أحدث ملفات الصف الحادي عشر العلمي
1. رياضيات, الفصل الثاني, 2025/2026, بوربوينت هندسة الفضاء حالات تعيين المستوى في الفضاء 2
قبل 1 يوم | المشاهدات: 67
2. رياضيات, الفصل الثاني, 2025/2026, بوربوينت هندسة الفضاء حالات تعيين المستوى في الفضاء 1
قبل 1 يوم | المشاهدات: 71
3. رياضيات, الفصل الثاني, 2025/2026, بوربوينت 1-11 المستقيمات والمستويات في الفضاء كتاب الطالب
قبل 1 يوم | المشاهدات: 46
4. رياضيات, الفصل الثاني, 2025/2026, بوربوينت 1-11 المستقيمات والمستويات في الفضاء كراسة التمارين
قبل 1 يوم | المشاهدات: 65
5. رياضيات, الفصل الثاني, 2025/2026, بوربوينت مقدمة في هندسة الفضاء الأشكال والمسلمات الأساسية
قبل 2 أيام | المشاهدات: 90
6. رياضيات, الفصل الثاني, 2025/2026, بوربوينت الوحدة العاشرة هندسة الفضاء بند10-4
قبل 3 أيام | المشاهدات: 74
7. رياضيات, الفصل الثاني, 2025/2026, بوربوينت الوحدة العاشرة هندسة الفضاء بند10-2
قبل 3 أيام | المشاهدات: 82
8. رياضيات, الفصل الثاني, 2025/2026, بوربوينت الوحدة العاشرة هندسة الفضاء بند10-3
قبل 3 أيام | المشاهدات: 78
9. رياضيات, الفصل الثاني, 2025/2026, إجابة نماذج امتحان التقويمي الأول منهاج جديد
قبل 3 أيام | المشاهدات: 63
10. رياضيات, الفصل الثاني, 2025/2026, نماذج امتحان التقويمي الأول غير محلول منهاج جديد
قبل 3 أيام | المشاهدات: 48
11. رياضيات, الفصل الثاني, 2025/2026, إجابة بنود الاختبار التقويمي الأول منهاج جديد
قبل 3 أيام | المشاهدات: 54
12. رياضيات, الفصل الثاني, 2025/2026, بنود الاختبار التقويمي الأول غير محلول منهاج جديد
قبل 3 أيام | المشاهدات: 50
13. رياضيات, الفصل الثاني, 2025/2026, الاختبار التقويمي الأول مع نماذج الإجابة 2023-2024م
قبل 3 أيام | المشاهدات: 47
14. رياضيات, الفصل الثاني, 2025/2026, الاختبار التقويمي الأول مع نماذج الإجابة 2024-2025م
قبل 3 أيام | المشاهدات: 45
15. رياضيات, الفصل الثاني, 2025/2026, إجابة نماذج للاختبار التقويمي الأول 2024-2025م
قبل 3 أيام | المشاهدات: 50
اضغط للمزيد من ملفات الصف الحادي عشر العلمي

أحدث ملفات الصف الحادي عشر العلمي, الامتحانات, الفصل الثاني
1. التربية تعيد النظر في اختبار مادة الفيزياء
تاريخ ووقت الإضافة: 2019-05-09 04:15:22
هل تريد ملفات لمادة أخرى لقسم الصف الحادي عشر العلمي, الفصل الثاني ؟ اخترها
اسم المادةعدد الملفات
فيزياء 119
علوم 110
كيمياء 104
جيولوجيا 98
رياضيات 93
التربية 1