×

حمّل تطبيق المناهج الآن وتمتّع بتجربة أسرع وأسهل في الوصول إلى الملفات والاختبارات.

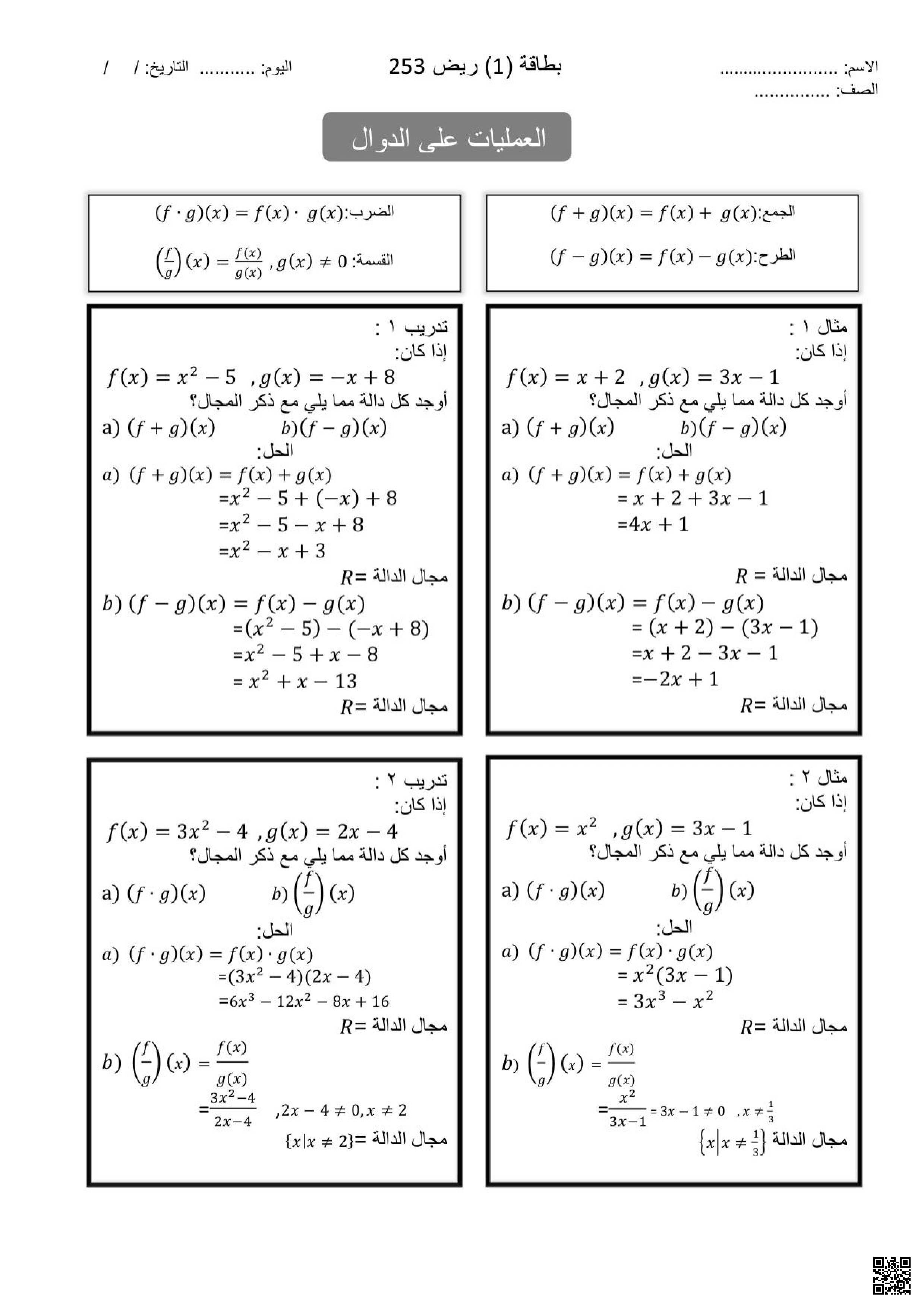
حل ريض 253 مقرر رياضيات الصف الثاني الثانوي, الصف الثاني الثانوي, رياضيات, الفصل الأول, 2025-2026 - المناهج البحرينية
الملاحظات المثبتة في المناهج البحرينية
أهلاً بكم جميعاً طلاباً ومدرسين وأهالي طلبة ومهتمين، في قسم دولة البحرين ، نحن الآن في الفصل الثاني من العام الدراسي 2025/2026 وتاريخ اليوم 2026/03/21 م
تنويه: المناهج البحرينية هو موقع مجاني وغير رسمي ولا يتطلب اشتراك لتحميل الملفات، لذلك يرجى عدم دفع أي مبلغ أو الاشتراك من أجل تحميل الملفات.
الملاحظة القادمة في التقويم المدرسي - الفصل الثاني: الامتحان التجريبي (MOCK Post-test) لقياس مهارات اللغة الإنجليزية IELTS. في 2026-03-29
أنت هنا: موقع المناهجالمناهج البحرينية الصف الثاني الثانوي رياضيات الفصل الأول حلول

حل ريض 253 مقرر رياضيات الصف الثاني الثانوي, الصف الثاني الثانوي, رياضيات, الفصل الأول, 2025-2026

حل ريض 253 مقرر رياضيات الصف الثاني الثانوي - رياضيات - الصف الصف الثاني الثانوي - الفصل الفصل الأول

ملف "حل ريض 253.pdf"، إليك خمسة أسطر تلخص أبرز النقاط، يليها اسم معد الملف: --- 1.
يتناول الملف مفاهيم تركيب الدوال (f \circ g)(x) وتطبيقاته في مسائل الحياة كالخصومات والتخفيضات على الأسعار. 2.
يشرح الدوال العكسية وكيفية إيجادها باستخدام تبديل الإحداثيات أو حل المعادلات، مع أمثلة عملية. 3.
يركز على دوال الجذر التربيعي وخصائصها البيانية مثل المجال والمدى والتحويلات (الإزاحة، الانعكاس، التمدد). 4.
يعرض الجذور النونية وتبسيط التعبيرات الجذرية، بالإضافة إلى العمليات عليها (جمع، طرح، ضرب، قسمة). 5.
يتضمن الدوال الأسية واللوغاريتمية، تمثيلها البياني، خصائصها، وتطبيقات حياتية كنمو السكان واضمحلال المواد. اسم معد الملف: أ.
إيمان عبد الله

السابق الخبر الحالي: 13988 التالي: شرح درس قوى التجاذب كيم 214
القسم: رياضيات
القسم الفرعي: الصف الثاني الثانوي
الفصل الأول
العام الدراسي: 2025-2026
تاريخ إضافة الخبر: 2025-12-30
عدد المشاهدات: 194
توقيت آخر زيارة للملف: 2026-03-17 03:15:14
تمت إضافته بواسطة: ZahraBh90

رابط تحميل الخبر المرفق

شارك هذا الملف
البحث عن ملف بحسب الدولة و الصف والمادة والفصل

أحدث ملفات الصف الثاني الثانوي, رياضيات, الفصل الأول
1. نماذج الأسئلة الخاصّة بامتحان نهاية الفصل الأول الرياضيات 3 مقرر ريض 253
تاريخ ووقت الإضافة: 2025-12-30 21:17:41
2. نماذج الإجابة الخاصّة بامتحان نهاية الفصل الأول للرياضيات 3 مقرر ريض 253
تاريخ ووقت الإضافة: 2025-12-30 21:13:59
3. حل ملزمة ريض 253
تاريخ ووقت الإضافة: 2025-12-30 11:30:00
4. تمثيل الدوال الأسية وبياناتها
تاريخ ووقت الإضافة: 2025-12-30 10:36:23
5. حل المعادلات اللوغاريتمية
تاريخ ووقت الإضافة: 2025-12-30 10:33:38
6. مراجعة مقرر ريض 253 النهائي
تاريخ ووقت الإضافة: 2025-12-30 10:14:53
7. ملخص مقرر ريض 253 الشامل
تاريخ ووقت الإضافة: 2025-12-29 17:07:15
8. حل ملخص مقرر ريض 253 الشامل
تاريخ ووقت الإضافة: 2025-12-29 16:59:16
9. نماذج أسئلة امتحان نهاية الفصل الأول الرياضيات 3 مقرر ريض 253
تاريخ ووقت الإضافة: 2025-12-29 16:33:35
10. إجابة امتحان نهاية الفصل الأول مقرر الرياضيات 3 ريض 253
تاريخ ووقت الإضافة: 2025-12-29 16:29:33
هل تريد مادة أخرى لقسم الصف الثاني الثانوي, الفصل الأول ؟ اخترها
لغة انجليزية لغة عربية فيزياء
كيمياء تربية اسلامية أحياء
بدن

أحدث ملفات الصف الثاني الثانوي
1. كيمياء, الفصل الثاني, 2025/2026, شرح درس قوى التجاذب كيم 214
قبل 2 أسابيع | المشاهدات: 204
2. أحياء, الفصل الثاني, 2025/2026, أسئلة امتحانات النهائي السابقة مجمعة في ملف واحد مقرر حيا 217 غير محلول
قبل 2 أسابيع | المشاهدات: 133
3. أحياء, الفصل الثاني, 2025/2026, أجوبة امتحانات النهائي السابقة مجمعة في ملف واحد مقرر حيا 217
قبل 2 أسابيع | المشاهدات: 125
4. تاريخ, الفصل الثاني, 2025/2026, تواريخ مهمة في تاريخ البحرين ملخص زمني للأحداث البارزة
قبل 2 أسابيع | المشاهدات: 155
5. فيزياء, الفصل الثاني, 2025/2026, إجابة تجميع امتحانات النهائي السابقة لمقرر فيز 218
قبل 2 أسابيع | المشاهدات: 160
6. فيزياء, الفصل الثاني, 2025/2026, تجميع امتحانات النهائي السابقة لمقرر فيز 218 غير محلول
قبل 2 أسابيع | المشاهدات: 152
7. جيولوجيا, الفصل الثاني, 2025/2026, امتحانات النهائي السابقة لمقرر جيو 211 غير محلول
قبل 2 أسابيع | المشاهدات: 124
8. تاريخ, الفصل الثاني, 2025/2026, ملخص نهائي لدروس مقرر تاريخ البحرين الحديث والمعاصر 203
قبل 2 أسابيع | المشاهدات: 107
9. لغة انجليزية, الفصل الثاني, 2025/2026, unit 8 دليل كتابة مقال السبب والنتيجة
قبل 2 أسابيع | المشاهدات: 119
10. جيولوجيا, الفصل الثاني, 2025/2026, أجوبة امتحانات النهائي السابقة لمقرر جيو 211
قبل 2 أسابيع | المشاهدات: 146
11. جيولوجيا, الفصل الثاني, 2025/2026, مذكرة شاملة دليل الطالب مقرر جيو211
قبل 3 أسابيع | المشاهدات: 569
12. تاريخ, الفصل الثاني, 2025/2026, ملخص شامل لتاريخ البحرين الحديث والمعاصر أجا 203 لعام 2024-2025م
قبل 3 أسابيع | المشاهدات: 531
13. رياضيات, الفصل الثاني, 2025/2026, إجابة مراجعة شاملة مقرر ريض262
قبل 3 أسابيع | المشاهدات: 458
14. تاريخ, الفصل الثاني, 2025/2026, مذكرة شاملة تاريخ البحرين الحديث سلسلة مذكرات الشريف أجا201
قبل 3 أسابيع | المشاهدات: 285
15. رياضيات, الفصل الثاني, 2025/2026, حلول مراجعة ملف انجاز الطالب ريض262 لعام 2023-2024م
قبل 3 أسابيع | المشاهدات: 345
اضغط للمزيد من ملفات الصف الثاني الثانوي

أحدث ملفات الصف الثاني الثانوي, بدن, الفصل الأول
1. مذكرة بدن 301 الملخص
تاريخ ووقت الإضافة: 2025-12-31 09:53:16
2. اهم ما ذُكر في مقرر بدن 212
تاريخ ووقت الإضافة: 2025-12-30 14:40:49
3. الإجابات النموذجية لامتحان نهاية الفصل الأول مقرر بدن 301
تاريخ ووقت الإضافة: 2025-12-30 12:57:27
4. ملخص بدن 301 ثاني ثانوي
تاريخ ووقت الإضافة: 2025-12-30 12:40:10
5. مذكرة بدن 301 الشاملة
تاريخ ووقت الإضافة: 2025-12-30 12:36:08
6. الإجابة النموذجية لامتحان نهاية الفصل الأوّل مقرر ألعاب القوى بدن 301
تاريخ ووقت الإضافة: 2025-12-30 11:33:57
7. ملخص بدن الشامل 301
تاريخ ووقت الإضافة: 2025-12-30 10:08:20
8. نموذج امتحان نهاية الفصل الأول ألعاب القوى بدن 301
تاريخ ووقت الإضافة: 2025-12-29 17:19:49
9. نموذج امتحان الدور الثاني العاب القوى بدن 301
تاريخ ووقت الإضافة: 2025-12-29 17:15:39
10. نموذج امتحان الدور الثالث مقرر بدن 301 ألعاب القوى
تاريخ ووقت الإضافة: 2025-12-29 17:12:17
هل تريد مادة أخرى لقسم الصف الثاني الثانوي, الفصل الأول ؟ اخترها
رياضيات لغة انجليزية لغة عربية
فيزياء كيمياء تربية اسلامية
أحياء