×

حمّل تطبيق المناهج الآن وتمتّع بتجربة أسرع وأسهل في الوصول إلى الملفات والاختبارات.

اختبار القدرات الأكاديمية في اللغة الانكليزية نموذج3, ملفات جامعية, لغة انجليزية, الفصل الثاني, 2017-2018 - المناهج الكويتية
الملاحظات المثبتة في المناهج الكويتية
أهلاً بكم جميعاً طلاباً ومدرسين وأهالي طلبة ومهتمين، في قسم دولة الكويت ، نحن الآن في الفصل الأول من العام الدراسي 2025/2026 وتاريخ اليوم 2026/01/10 م
تنويه: المناهج الكويتية هو موقع مجاني وغير رسمي ولا يتطلب اشتراك لتحميل الملفات، لذلك يرجى عدم دفع أي مبلغ أو الاشتراك من أجل تحميل الملفات.
📅 الملاحظة القادمة في التقويم المدرسي - الفصل الأول: بداية التقييم النهائي للمتعلمين في صفوف المرحلة الابتدائية بالفصل الدراسي الأول في 2026-01-15
أنت هنا: موقع المناهجالمناهج الكويتية ملفات جامعية لغة انجليزية الفصل الثاني الامتحان النهائي
×

تنويه:
جميع الملفات المنشورة في موقع المناهج هي من إعداد المعلمين أو مستخدمينا الكرام، وتُستخدم لأغراض تعليمية غير ربحية.
في حال وجود أي بلاغ متعلق بحقوق النشر، نرجو التواصل معنا على البريد التالي:
admin@almanahj.com
وسيتم التعامل مع الطلب وحذف المحتوى المخالف خلال 24 ساعة.

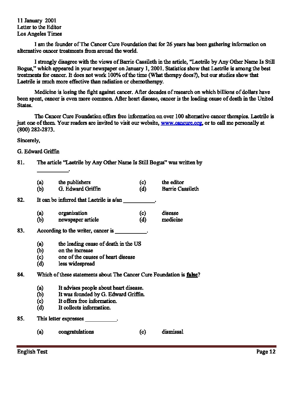
اختبار القدرات الأكاديمية في اللغة الانكليزية نموذج3
السابق: نموذج اختبارات القدرات الأكاديمية الاصدار A اضافي الملف الحالي: 417 التالي: نموذج اجابة اختبار القدرات (نموذج3)
المادة: لغة انجليزية
ملفات جامعية
الفصل الثاني
القسم: الامتحان النهائي
العام الدراسي: 2017-2018

معلومات الملف:

إلكيم ملفاً يتضمن نموذجاً لاختبار القدرات الأكاديمية وهذا الملف صادر عن جامعة الكويت

مكتب نائب مدير الجامعة للشؤون العلمية

مركز التقييم والقياس

العام الدراسي 2017-2018

 

عدد الصفحات: 12
نوع الملف: PDF
الحجم: 2.1MB
تاريخ إضافة الملف: 2018-03-01 03:03:35 بتوقيت غرينتش
عدد المشاهدات: 3280
توقيت آخر زيارة للملف: 2026-01-09 13:23:25
تمت إضافته بواسطة: Maya
رابط التحميل

تم إيجاد الملف: اختبار القدرات الأكاديمية في اللغة الانكليزية نموذج3

Aptitude3.pdf
يتم الآن تحضير الملف (اختبار القدرات الأكاديمية في اللغة الانكليزية نموذج3) من أجل التحميل

صورة تعبيرية من الملف:
شارك هذا الملف
البحث عن ملف بحسب الدولة و الصف والمادة والفصل

أحدث ملفات ملفات جامعية, لغة انجليزية, الفصل الثاني
1. نموذج اجابة اختبار القدرات (نموذج3)
تاريخ ووقت الإضافة: 2019-03-06 13:22:24
2. اختبار قدرات (نموذج2)
تاريخ ووقت الإضافة: 2019-03-06 13:19:40
3. اختبار قدرات (نموذج1)
تاريخ ووقت الإضافة: 2019-03-06 13:16:08
4. اختبارات قدرات اصدارA
تاريخ ووقت الإضافة: 2019-02-23 10:44:27
5. اختبار القدرات الأكاديمية في اللغة الانكليزية نموذج3
تاريخ ووقت الإضافة: 2018-03-01 03:01:35
6. نموذج اختبارات القدرات الأكاديمية الاصدار A اضافي
تاريخ ووقت الإضافة: 2018-02-28 09:39:46
7. نموذج اختبارات القدرات الأكاديمية الاصدار A
تاريخ ووقت الإضافة: 2018-02-28 09:28:27
هل تريد ملفات لمادة أخرى لقسم ملفات جامعية, الفصل الثاني ؟ اخترها
اسم المادةعدد الملفات
لغة عربية 1
الدوام 1

أحدث ملفات ملفات جامعية
1. لغة انجليزية, الفصل الثاني, 2018-2019, نموذج اجابة اختبار القدرات (نموذج3)
قبل 6 سنوات | المشاهدات: 5624
2. لغة انجليزية, الفصل الثاني, 2018-2019, اختبار قدرات (نموذج2)
قبل 6 سنوات | المشاهدات: 2220
3. لغة انجليزية, الفصل الثاني, 2018-2019, اختبار قدرات (نموذج1)
قبل 6 سنوات | المشاهدات: 3493
4. لغة انجليزية, الفصل الثاني, 2018-2019, اختبارات قدرات اصدارA
قبل 6 سنوات | المشاهدات: 1724
5. لغة عربية, الفصل الثاني, 2018-2019, مذكرة قدرات اكثر من رائعة
قبل 6 سنوات | المشاهدات: 3849
6. تربية اسلامية, الفصل الأول, 2018-2019, مذكرة الانفوجرافيك تجويد للمرحلة الثانوية
قبل 7 سنوات | المشاهدات: 2997
7. لغة عربية, الفصل الأول, 2018-2019, الثروة اللغوية للمرحلة الثانوية مع التعديلات في مادة اللغة العربية
قبل 7 سنوات | المشاهدات: 2615
8. لغة انجليزية, الفصل الأول, 2018-2019, جدول تصريف الافعال في مادة اللغة الانكليزية
قبل 7 سنوات | المشاهدات: 12261
9. لغة عربية, الفصل الأول, 2018-2019, خطة توزيع منهج اللغة العربيةللمرحلة الثانوية
قبل 7 سنوات | المشاهدات: 11331
10. لغة انجليزية, الفصل الأول, 2018-2019, مذكرة تدريبات على الازمنة للمرحلة المتوسطة والثانوية في مادة اللغة الانكليزية
قبل 7 سنوات | المشاهدات: 10979
11. لغة انجليزية, الفصل الثاني, 2017-2018, اختبار القدرات الأكاديمية في اللغة الانكليزية نموذج3
قبل 7 سنوات | المشاهدات: 3281
12. لغة انجليزية, الفصل الثاني, 2017-2018, نموذج اختبارات القدرات الأكاديمية الاصدار A اضافي
قبل 7 سنوات | المشاهدات: 32511
13. لغة انجليزية, الفصل الثاني, 2017-2018, نموذج اختبارات القدرات الأكاديمية الاصدار A
قبل 7 سنوات | المشاهدات: 3973
اضغط للمزيد من ملفات ملفات جامعية

أحدث ملفات ملفات جامعية, الدوام, الفصل الثاني
1. عمادة القبول و التسجيل تعلن بدء تقديم طلبات الالتحاق بالفصل الدراسي الاول
تاريخ ووقت الإضافة: 2021-06-24 02:01:55
هل تريد ملفات لمادة أخرى لقسم ملفات جامعية, الفصل الثاني ؟ اخترها
اسم المادةعدد الملفات
لغة انجليزية 7
لغة عربية 1