×

حمّل تطبيق المناهج الآن وتمتّع بتجربة أسرع وأسهل في الوصول إلى الملفات والاختبارات.

امتحانات مهمة في مادة الاحصاء, منطقة الفروانية التعليمية, الصف الثاني عشر الأدبي, إحصاء, الفصل الثاني, 2017-2018 - المناهج الكويتية
الملاحظات المثبتة في المناهج الكويتية
أهلاً بكم جميعاً طلاباً ومدرسين وأهالي طلبة ومهتمين، في قسم دولة الكويت ، نحن الآن في الفصل الأول من العام الدراسي 2025/2026 وتاريخ اليوم 2026/03/28 م
تنويه: المناهج الكويتية هو موقع مجاني وغير رسمي ولا يتطلب اشتراك لتحميل الملفات، لذلك يرجى عدم دفع أي مبلغ أو الاشتراك من أجل تحميل الملفات.
📅 الملاحظة القادمة في التقويم المدرسي - الفصل الأول: نهاية تسجيل طلبات نقل الهيئة التعليمية في رياض الأطفال والمتعلمين في 2026-03-31
أنت هنا: موقع المناهجالمناهج الكويتية الصف الثاني عشر الأدبي إحصاء الفصل الثاني الامتحان النهائي
×

تنويه:
جميع الملفات المنشورة في موقع المناهج هي من إعداد المعلمين أو مستخدمينا الكرام، وتُستخدم لأغراض تعليمية غير ربحية.
في حال وجود أي بلاغ متعلق بحقوق النشر، نرجو التواصل معنا عبر الضغط هنا
وسيتم التعامل مع الطلب وحذف المحتوى المخالف خلال 24 ساعة.

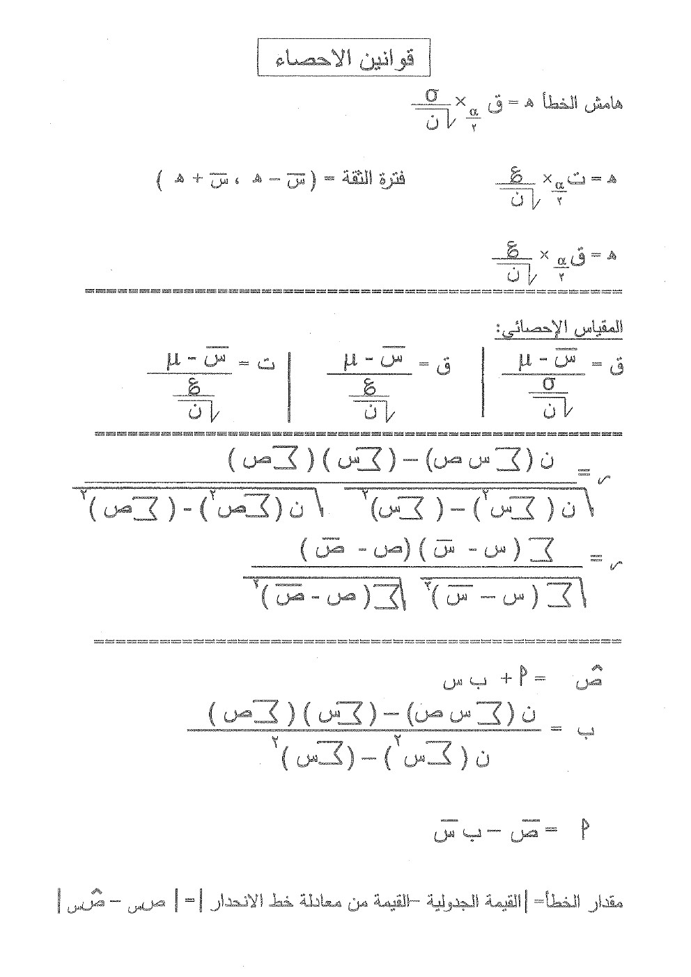
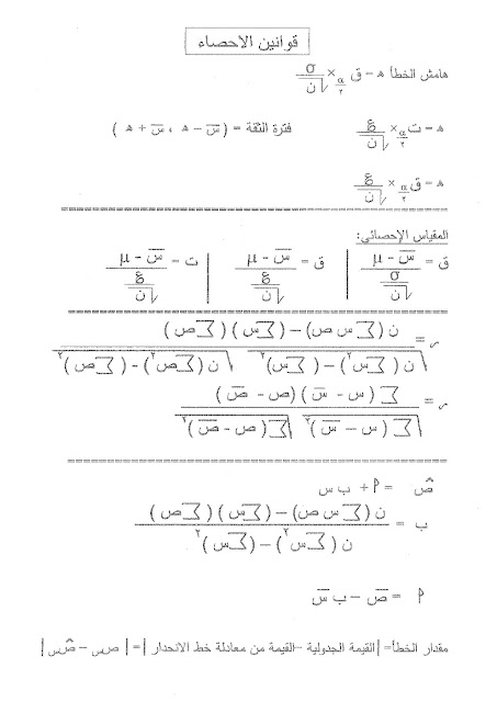
امتحانات مهمة في مادة الاحصاء - إعداد: منطقة الفروانية التعليمية
السابق: نماذج اختبارات واجاباتها النموذجية في مادة الاحصاء الملف الحالي: 1070 التالي: بوربوينت توزيع ذات الحدين والتوزيع الطبيعي مع التوقع والتباين
المادة: إحصاء
الصف الثاني عشر الأدبي
الفصل الثاني
القسم: الامتحان النهائي
العام الدراسي: 2017-2018

معلومات الملف:

53 ورقة في مادة الاحصاء للصف الثاني عشر الادبي للفصل الدراسي الثاني تتضمن نماذج اختبار مهمة تابعة للادارة العامة لمنطقة الفروانية التعليمية

عدد الصفحات: 53
نوع الملف: PDF
الحجم: 2.3MB
- إعداد: منطقة الفروانية التعليمية
تاريخ إضافة الملف: 2018-05-02 02:05:22 بتوقيت غرينتش
عدد المشاهدات: 6834
توقيت آخر زيارة للملف: 2026-03-28 02:28:00
تمت إضافته بواسطة: Maya
رابط التحميل

تم إيجاد الملف: امتحانات مهمة في مادة الاحصاء

_عشر_ادبي_احصاء_امتحانات.pdf
يتم الآن تحضير الملف (امتحانات مهمة في مادة الاحصاء) من أجل التحميل

صورة تعبيرية من الملف:

شارك هذا الملف
البحث عن ملف بحسب الدولة و الصف والمادة والفصل

أحدث ملفات الصف الثاني عشر الأدبي, إحصاء, الفصل الثاني
1. بوربوينت درس التوزيع التراكمي وذات الحدين
تاريخ ووقت الإضافة: 2026-03-25 21:36:53
2. كراسة التمارين يضم الإحصاء والاحتمالات
تاريخ ووقت الإضافة: 2026-03-25 13:44:02
3. نموذج إجابة الاختبار النهائي الرسمي المعتمد من التوجيه الفني العام
تاريخ ووقت الإضافة: 2026-01-15 13:00:01
4. نموذج إجابة الاختبار النهائي الرسمي المعتمد من التوجيه الفني العام
تاريخ ووقت الإضافة: 2025-06-23 13:36:38
5. مذكرة الخلاصة للأسئلة المقالية للاختبارات السابقة مع الإجابة النموذجية
تاريخ ووقت الإضافة: 2025-04-29 12:06:08
6. مذكرة الخلاصة للأسئلة المقالية للاختبارات السابقة
تاريخ ووقت الإضافة: 2025-04-29 12:05:08
7. مذكرة ثانوية سلمان الفارسي
تاريخ ووقت الإضافة: 2025-04-26 09:27:18
8. الأسئلة المقالية التي وردت في الاختبارات السابقة (آخر كلام)
تاريخ ووقت الإضافة: 2025-03-26 08:56:07
9. موضوعي الاختبارات السابقة (آخر كلام)
تاريخ ووقت الإضافة: 2025-03-26 08:46:55
10. نموذج اختبار تقويمي مع الحل
تاريخ ووقت الإضافة: 2025-03-19 13:03:57
11. نموذج اختبار تقويمي
تاريخ ووقت الإضافة: 2025-03-19 13:01:37
12. اختبار تقويمي أول
تاريخ ووقت الإضافة: 2025-03-10 12:34:36
13. حل كراسة التمارين
تاريخ ووقت الإضافة: 2025-02-01 14:02:30
14. حلول البنود الموضوعية
تاريخ ووقت الإضافة: 2025-02-01 13:55:14
15. توزيع خطة المنهج
تاريخ ووقت الإضافة: 2025-01-31 11:31:06
هل تريد ملفات لمادة أخرى لقسم الصف الثاني عشر الأدبي, الفصل الثاني ؟ اخترها
اسم المادةعدد الملفات
لغة فرنسية 123
فلسفة 65
تاريخ 52
جغرافيا 41
اجتماعيات 20
لغة انجليزية 18
دستور 6
2
رياضيات 2
تربية اسلامية 1
لغة عربية 1
التربية 1

أحدث ملفات الصف الثاني عشر الأدبي
1. رياضيات, الفصل الثاني, 2025/2026, بوربوينت توزيع ذات الحدين والتوزيع الطبيعي مع التوقع والتباين
قبل 1 يوم | المشاهدات: 60
2. إحصاء, الفصل الثاني, 2025/2026, بوربوينت درس التوزيع التراكمي وذات الحدين
قبل 2 أيام | المشاهدات: 74
3. إحصاء, الفصل الثاني, 2025/2026, كراسة التمارين يضم الإحصاء والاحتمالات
قبل 2 أيام | المشاهدات: 56
4. فلسفة, الفصل الثاني, 2025/2026, إجابة مراجعة نهائية أسئلة متنوعة تشمل اختيار من متعدد وتصحيح الأخطاء وأكمل العبارات وتعليل ومقارنة
قبل 2 أيام | المشاهدات: 36
5. فلسفة, الفصل الثاني, 2025/2026, ملخص المفاهيم والمصطلحات الفلسفية2023م
قبل 2 أيام | المشاهدات: 38
6. فلسفة, الفصل الثاني, 2025/2026, تجميع الأسئلة المقالية للاختبارات السابقة 2024-2025م مع نماذج الإجابة
قبل 2 أيام | المشاهدات: 32
7. لغة فرنسية, الفصل الثاني, 2025/2026, ترجمة الكلمات وحل جميع أنشطة وتمارين كتاب الطالب
قبل 2 أيام | المشاهدات: 52
8. فلسفة, الفصل الثاني, 2025/2026, مذكرة شاملة وتضم مفاهيم الأخلاق ومصادر الإلزام الخلقي والحرية والمسؤولية و الأخلاق التطبيقية في مجالات الطب والهندسة الوراثية والبيئة والعلم والمهن
قبل 5 أيام | المشاهدات: 78
9. اجتماعيات, الفصل الثاني, 2025/2026, ملخص الحرب العالمية الأولى
قبل 1 أسبوع | المشاهدات: 128
10. تاريخ, الفصل الثاني, 2025/2026, الأحلاف والتكتلات قبل الحرب العالمية الأولى خريطة ذهنية
قبل 1 أسبوع | المشاهدات: 102
11. تاريخ, الفصل الثاني, 2025/2026, ملخص الثورة الفرنسية تاريخ العالم الحديث والمعاصر
قبل 1 أسبوع | المشاهدات: 99
12. فلسفة, الفصل الثاني, 2025/2026, مذكرة الإبداع وتضم مصادر الإلزام الخلقي والعلاقة بين العقل والشرع في التكليف الخلقي وومبدأ الوسطية والاعتدال منهاج جديد
قبل 2 أسابيع | المشاهدات: 175
13. جغرافيا, الفصل الثاني, 2025/2026, مذكرة الإبداع وتشمل الثورة الإنجليزية عام 1689م وأسبابها والثورة الأمريكية وأسبابها ومقارنة بين أنظمة الحكم في المستعمرات ومجالسها النيابية منهاج جديد
قبل 2 أسابيع | المشاهدات: 150
14. تاريخ, الفصل الثاني, 2025/2026, مذكرة الإبداع وتشمل الثورة الإنجليزية عام 1689م وأسبابها والثورة الأمريكية وأسبابها ومقارنة بين أنظمة الحكم في المستعمرات ومجالسها النيابية منهاج جديد
قبل 2 أسابيع | المشاهدات: 137
15. تربية اسلامية, الفصل الثاني, 2025/2026, مذكرة شاملة مراجعة مميزة مج نماذج الإجابات منهاج جديد
قبل 1 شهر | المشاهدات: 259
اضغط للمزيد من ملفات الصف الثاني عشر الأدبي

أحدث ملفات الصف الثاني عشر الأدبي, التربية, الفصل الثاني
1. جدول اختبارات الدور الثاني للصف الثاني عشر الأدبي
تاريخ ووقت الإضافة: 2024-06-22 21:33:31
هل تريد ملفات لمادة أخرى لقسم الصف الثاني عشر الأدبي, الفصل الثاني ؟ اخترها
اسم المادةعدد الملفات
لغة فرنسية 123
فلسفة 65
إحصاء 63
تاريخ 52
جغرافيا 41
اجتماعيات 20
لغة انجليزية 18
دستور 6
رياضيات 2
2
تربية اسلامية 1
لغة عربية 1