الملاحظات المثبتة في المناهج الإماراتية
أهلاً بكم جميعاً طلاباً ومدرسين وأهالي طلبة ومهتمين، في قسم دولة الإمارات ، نحن الآن في الفصل الأول من العام الدراسي 2025/2026 وتاريخ اليوم 2025/11/04 م
تنويه: المناهج الإماراتية هو موقع مجاني وغير رسمي ولا يتطلب اشتراك لتحميل الملفات، لذلك يرجى عدم دفع أي مبلغ أو الاشتراك من أجل تحميل الملفات.
الجداول التفاعلية لامتحان نهاية الفصل الأول للصفوف من الثالث إلى الثاني عشر
📆 الملاحظة القادمة في التقويم المدرسي - الفصل الأول: الاختبار التجريبي. في 2025-11-17
📌 الخطة الدراسية الرسمية المعتمدة للعام الدراسي 2025-2026
📌 تنويه: موقع المناهج لا ينشر أي إعلان أو روابط تخص منصة ألف، وعليه نرجو منكم الخروج من المجموعات التي تضع شعار الموقع والتي تقوم بالترويج لحلول منصة ألف
🆕 وزارة التربية والتعليم تكشف تفاصيل التقويم الأكاديمي 2025 – 2026
اختبار نهاية الفصل لطلبة الصف الثاني عشر المتقدم التالي سيكون في مادة فيزياء بتاريخ 2025-11-20 - اضغط للحصول على ملفات مادة فيزياء واضغط هنا للحصول على ملفات هياكل مادة فيزياء
أنت هنا: موقع المناهجالمناهج الإماراتية الصف الثاني عشر المتقدم فيزياء الفصل الأول حلول
×

تنويه:
جميع الملفات المنشورة في موقع المناهج هي من إعداد المعلمين أو مستخدمينا الكرام، وتُستخدم لأغراض تعليمية غير ربحية.
في حال وجود أي بلاغ متعلق بحقوق النشر، نرجو التواصل معنا على البريد التالي:
admin@almanahj.com
وسيتم التعامل مع الطلب وحذف المحتوى المخالف خلال 24 ساعة.

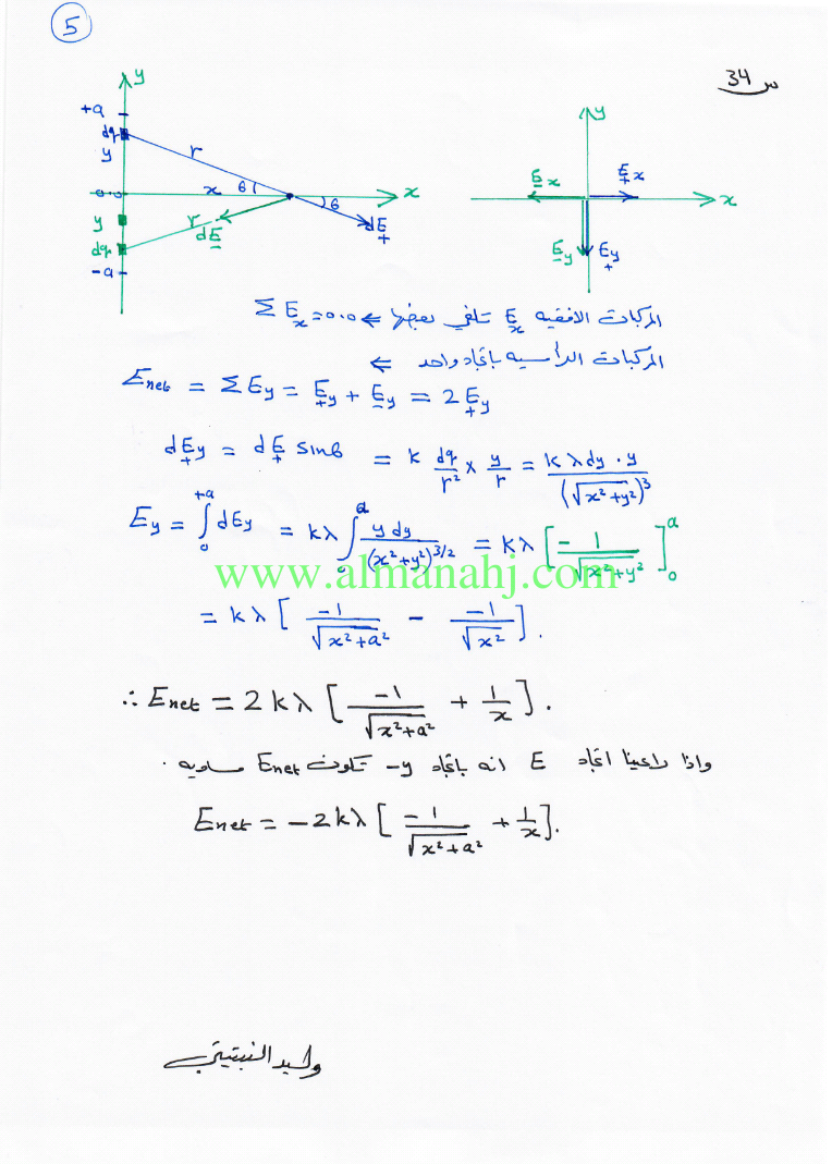
حل بعض المسائل المجالات الكهربائية
السابق: جدول امتحان المتقدم نهاية الفصل الاول الملف الحالي: 6037 التالي: مراجعة الدرس السابع Derivatives of Exponential and Logarithmic Functions مشتقة الدوال الأسية والدوال اللوغاريتمية من الوحدة الثالثة (اختبر نفسك 11)
المادة: فيزياء
الصف الثاني عشر المتقدم
الفصل الأول
القسم: حلول
العام الدراسي: 2018-2019

معلومات الملف: الصف الثاني عشر المتقدم, الفصل الأول, فيزياء, 2018-2019, حل بعض المسائل المجالات الكهربائية

الحجم: 0
تاريخ إضافة الملف: 2019-04-19 07:04:34 بتوقيت غرينتش
عدد المشاهدات: 7143
توقيت آخر زيارة للملف: 2025-11-03 12:43:45
تمت إضافته بواسطة: aml987
رابط تحميل وعرض ( حل بعض المسائل المجالات الكهربائية )
اضغط هنا لتحميل وعرض ( حل بعض المسائل المجالات الكهربائية )
صورة تعبيرية من الملف:

لتحميل الملف اتبع الرابط

http://aefiles.website/do.php?id=3000">http://aefiles.website/do.php?id=3000

 

شارك هذا الملف
البحث عن ملف بحسب الدولة و الصف والمادة والفصل

أحدث ملفات الصف الثاني عشر المتقدم, فيزياء, الفصل الأول
1. شرح دروس الوحدة الثانية المجال الكهربائي وقانون جاوس مع تدريبات متبوعة بالإجابات
تاريخ ووقت الإضافة: 2025-10-26 00:10:23
2. أوراق عمل مراجعة الوحدة الثانية المجال الكهربائي وقانون جاوس
تاريخ ووقت الإضافة: 2025-10-26 00:05:43
3. نموذج إجابة تجميعة أسئلة مراجعة وفق الهيكل الوزاري الجديد المسار C منهج انسباير
تاريخ ووقت الإضافة: 2025-10-25 10:19:13
4. تجميعة أسئلة مراجعة وفق الهيكل الوزاري الجديد المسار C منهج انسباير
تاريخ ووقت الإضافة: 2025-10-25 10:17:18
5. تجميعة صفحات الكتاب وفق الهيكل الوزاري حسب منهج بريدج
تاريخ ووقت الإضافة: 2025-10-23 11:19:21
6. اختبار في Light, mirrors and lenses منهج انسباير
تاريخ ووقت الإضافة: 2025-10-22 21:58:14
7. تجميعة صفحات الكتاب وفق الهيكل الوزاري الجديد منهج انسباير
تاريخ ووقت الإضافة: 2025-10-20 12:30:44
8. الهيكل الوزاري الجديد منهج بريدج 2025
تاريخ ووقت الإضافة: 2025-10-16 14:18:02
9. مسودة الهيكل الوزاري الجديد منهج انسباير
تاريخ ووقت الإضافة: 2025-10-15 16:42:05
10. أوراق عمل درس The nature of light من وحدة Fundamentals of light منهج انسباير
تاريخ ووقت الإضافة: 2025-10-15 12:47:04
هل تريد ملفات لمادة أخرى لقسم الصف الثاني عشر المتقدم, الفصل الأول ؟ اخترها
رياضيات
(419 ملف)
كيمياء
(180 ملف)
علوم
(45 ملف)
تربية اسلامية
(14 ملف)
علوم صحية
(7 ملف)
الامتحانات
(6 ملف)
لغة انجليزية
(5 ملف)
المدارس
(4 ملف)
غير ذلك
(1 ملف)
اجتماعيات
(1 ملف)
أكثر خمس كلمات زيارة اليوم بحسب: فيزياء - الصف الثاني عشر المتقدم - الفصل الأول
الكلمةالمشاهدات
Reflection ️ 3
Refraction ️ 3
Feflection ️ 2
coulomb ️ 2
Insulators ️ 2
أكثر خمس كلمات الرائجة لليوم في الصف الثاني عشر المتقدم
الكلمةالمادةالمشاهدات
sheets لغة عربية ️ 5
slides اجتماعيات ️ 4
كامل رياضيات ️ 4
منهج رياضيات ️ 4
Reflection فيزياء ️ 3

أحدث ملفات الصف الثاني عشر المتقدم
1. رياضيات, الفصل الأول, 2025-2026, مراجعة الدرس السابع Derivatives of Exponential and Logarithmic Functions مشتقة الدوال الأسية والدوال اللوغاريتمية من الوحدة الثالثة (اختبر نفسك 11)
قبل 1 ساعة | المشاهدات: 10
2. رياضيات, الفصل الأول, 2025-2026, نموذج اختبار تجريبي وفق الهيكل الوزاري الجديد منهج بريدج
قبل 2 ساعات | المشاهدات: 85
3. رياضيات, الفصل الأول, 2025-2026, حل ملزمة مراجعة عامة وفق الهيكل الوزاري الجديد منهج بريدج
قبل 3 أيام | المشاهدات: 112
4. رياضيات, الفصل الأول, 2025-2026, ملزمة مراجعة عامة وفق الهيكل الوزاري الجديد منهج بريدج
قبل 3 أيام | المشاهدات: 118
5. رياضيات, الفصل الأول, 2025-2026, مراجعة الدرس السادس Derivative of trigonometric functions مشتقة الدوال المثلثية من الوحدة الثالثة (اختبر نفسك 10)
قبل 5 أيام | المشاهدات: 149
6. رياضيات, الفصل الأول, 2025-2026, مراجعة الدرس الخامس Chain rule قاعدة السلسلة من الوحدة الثالثة (اختبر نفسك 9)
قبل 5 أيام | المشاهدات: 136
7. كيمياء, الفصل الأول, 2025-2026, مراجعة وفق الهيكل الوزاري الجديد المسار C منهج انسباير مع الإجابات
قبل 5 أيام | المشاهدات: 119
8. كيمياء, الفصل الأول, 2025-2026, حل تجميعة صفحات الكتاب وفق الهيكل الوزاري المسار C-101 منهج بريدج
قبل 6 أيام | المشاهدات: 173
9. علوم, الفصل الأول, 2025-2026, مراجعة وفق الهيكل الوزاري الجديد المسار C-101 منهج انسباير بدون الحل
قبل 1 أسبوع | المشاهدات: 195
10. رياضيات, الفصل الأول, 2025-2026, مراجعة الدرس الرابع Product and quotient rule قاعدة الضرب والقسمة من الوحدة الثالثة (اختبر نفسك 8)
قبل 1 أسبوع | المشاهدات: 138
11. رياضيات, الفصل الأول, 2025-2026, حل مراجعة الدرس الثالث COMPUTATION OF DERIVATIVES: THE POWER RULE حساب المشتقات: قاعدة القوى من الوحدة الثالثة (اختبر نفسك 7)
قبل 1 أسبوع | المشاهدات: 191
12. رياضيات, الفصل الأول, 2025-2026, مراجعة الدرس الثالث COMPUTATION OF DERIVATIVES: THE POWER RULE حساب المشتقات: قاعدة القوى من الوحدة الثالثة (اختبر نفسك 7)
قبل 1 أسبوع | المشاهدات: 174
13. رياضيات, الفصل الأول, 2025-2026, حل مراجعة الدرسين الأول والثاني Tangent Lines and Velocity The Derivative المماسات والسرعة المتجهة الاشتقاق من الوحدة الثالثة (اختبر نفسك 6)
قبل 1 أسبوع | المشاهدات: 208
14. رياضيات, الفصل الأول, 2025-2026, مراجعة الدرسين الأول والثاني Tangent Lines and Velocity The Derivative المماسات والسرعة المتجهة الاشتقاق من الوحدة الثالثة (اختبر نفسك 6)
قبل 1 أسبوع | المشاهدات: 134
15. رياضيات, الفصل الأول, 2025-2026, حل مراجعة الدرس الخامس Limits involving infinity, asymptotes نهاية دالة عند اللانهاية والمقاربات من الوحدة الثانية (اختبر نفسك 5)
قبل 1 أسبوع | المشاهدات: 233
اضغط للمزيد من ملفات الصف الثاني عشر المتقدم

أحدث ملفات الصف الثاني عشر المتقدم, اجتماعيات, الفصل الأول
1. ملخص الدروس مع تدريبات (أسئلة وأجوبة)
تاريخ ووقت الإضافة: 2020-05-28 05:38:36
هل تريد ملفات لمادة أخرى لقسم الصف الثاني عشر المتقدم, الفصل الأول ؟ اخترها
رياضيات
(419 ملف)
فيزياء
(277 ملف)
كيمياء
(180 ملف)
علوم
(45 ملف)
تربية اسلامية
(14 ملف)
علوم صحية
(7 ملف)
الامتحانات
(6 ملف)
لغة انجليزية
(5 ملف)
المدارس
(4 ملف)
غير ذلك
(1 ملف)