الملاحظات المثبتة في المناهج الإماراتية
أهلاً بكم جميعاً طلاباً ومدرسين وأهالي طلبة ومهتمين، في قسم دولة الإمارات ، نحن الآن في الفصل الأول من العام الدراسي 2025/2026 وتاريخ اليوم 2025/11/01 م
تنويه: المناهج الإماراتية هو موقع مجاني وغير رسمي ولا يتطلب اشتراك لتحميل الملفات، لذلك يرجى عدم دفع أي مبلغ أو الاشتراك من أجل تحميل الملفات.
الجداول التفاعلية لامتحان نهاية الفصل الأول للصفوف من الثالث إلى الثاني عشر
📆 الملاحظة القادمة في التقويم المدرسي - الفصل الأول: الاختبار التجريبي. في 2025-11-17
📌 الخطة الدراسية الرسمية المعتمدة للعام الدراسي 2025-2026
📌 تنويه: موقع المناهج لا ينشر أي إعلان أو روابط تخص منصة ألف، وعليه نرجو منكم الخروج من المجموعات التي تضع شعار الموقع والتي تقوم بالترويج لحلول منصة ألف
🆕 وزارة التربية والتعليم تكشف تفاصيل التقويم الأكاديمي 2025 – 2026
اختبار نهاية الفصل لطلبة الصف الثاني عشر المتقدم التالي سيكون في مادة فيزياء بتاريخ 2025-11-20 - اضغط للحصول على ملفات مادة فيزياء واضغط هنا للحصول على ملفات هياكل مادة فيزياء
أنت هنا: موقع المناهجالمناهج الإماراتية الصف الثاني عشر المتقدم رياضيات الفصل الثالث ملفات متنوعة
×

تنويه:
جميع الملفات المنشورة في موقع المناهج هي من إعداد المعلمين أو مستخدمينا الكرام، وتُستخدم لأغراض تعليمية غير ربحية.
في حال وجود أي بلاغ متعلق بحقوق النشر، نرجو التواصل معنا على البريد التالي:
admin@almanahj.com
وسيتم التعامل مع الطلب وحذف المحتوى المخالف خلال 24 ساعة.

ملزمة رياضيات الفصلين الثاني والثالث
السابق: امتحان نهاية الفصل الثالث2017`2018 الملف الحالي: 5312 التالي: مراجعة الدرس السادس Derivative of trigonometric functions مشتقة الدوال المثلثية من الوحدة الثالثة (اختبر نفسك 10)
المادة: رياضيات
الصف الثاني عشر المتقدم
الفصل الثالث
القسم: ملفات متنوعة
العام الدراسي: 2017-2018

معلومات الملف: الصف الثاني عشر المتقدم, الفصل الثالث, رياضيات, 2017-2018, ملزمة رياضيات الفصلين الثاني والثالث

الحجم: 0
تاريخ إضافة الملف: 2019-04-19 07:04:34 بتوقيت غرينتش
عدد المشاهدات: 4332
توقيت آخر زيارة للملف: 2025-11-01 01:29:29
تمت إضافته بواسطة: aml987
رابط تحميل وعرض ( ملزمة رياضيات الفصلين الثاني والثالث )
اضغط هنا لتحميل وعرض ( ملزمة رياضيات الفصلين الثاني والثالث )
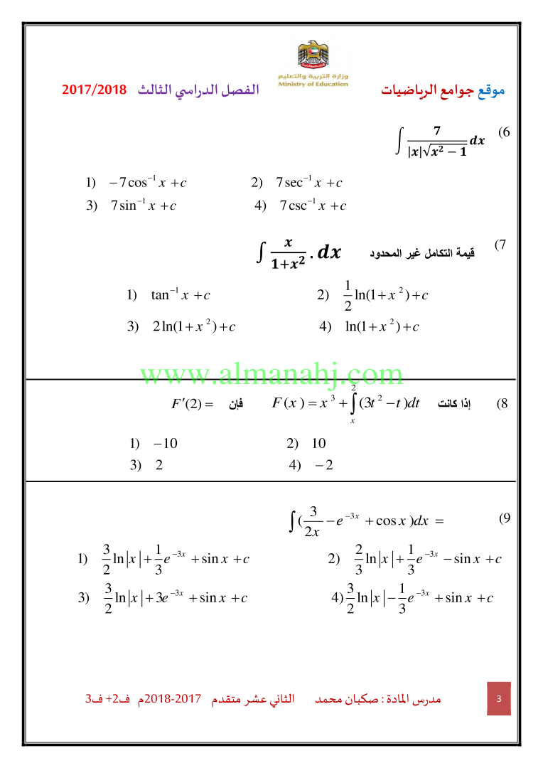
صورة تعبيرية من الملف:

لتحميل الملف اتبع الرابط

http://aefiles.website/do.php?id=2530">http://aefiles.website/do.php?id=2530

 

 
شارك هذا الملف
البحث عن ملف بحسب الدولة و الصف والمادة والفصل

أحدث ملفات الصف الثاني عشر المتقدم, رياضيات, الفصل الثالث
1. أسئلة الامتحان النهائي القسم الورقي متبوعة بنموذج دليل التصحيح
تاريخ ووقت الإضافة: 2025-07-03 15:51:10
2. تجميعة أسئلة امتحانية وزارية سابقة بدون الحل
تاريخ ووقت الإضافة: 2025-06-15 20:38:36
3. حل تجميعة أسئلة امتحانية وزارية سابقة
تاريخ ووقت الإضافة: 2025-06-15 20:36:18
4. حل تجميعة أسئلة القسم الموضوعي والمقالي وفق الهيكل الوزاري
تاريخ ووقت الإضافة: 2025-06-15 20:30:47
5. تجميعة أسئلة القسم الموضوعي والمقالي وفق الهيكل الوزاري
تاريخ ووقت الإضافة: 2025-06-15 20:27:00
6. ملخص مراجعة شاملة وفق الهيكل الوزاري
تاريخ ووقت الإضافة: 2025-06-15 17:47:55
7. حل مراجعة اختبار تدريبي يحاكي نموذج الهيكل الوزاري مع التوقعات
تاريخ ووقت الإضافة: 2025-06-15 15:32:34
8. مراجعة اختبار تدريبي يحاكي نموذج الهيكل الوزاري مع التوقعات
تاريخ ووقت الإضافة: 2025-06-15 14:28:25
9. حل تجميعة أسئلة وفق مخرجات الهيكل الوزاري (السؤال 20) القسم الورقي
تاريخ ووقت الإضافة: 2025-06-15 10:20:58
10. حل تجميعة أسئلة وفق مخرجات الهيكل الوزاري (السؤال 19) القسم الورقي
تاريخ ووقت الإضافة: 2025-06-15 10:19:19
هل تريد ملفات لمادة أخرى لقسم الصف الثاني عشر المتقدم, الفصل الثالث ؟ اخترها
فيزياء
(224 ملف)
كيمياء
(152 ملف)
علوم
(32 ملف)
علوم صحية
(9 ملف)
الامتحانات
(8 ملف)
لغة انجليزية
(3 ملف)
لغة عربية
(1 ملف)
التربية
(1 ملف)
تربية أخلاقية
(1 ملف)
أخبار
(1 ملف)
أكثر خمس كلمات زيارة اليوم بحسب: رياضيات - الصف الثاني عشر المتقدم - الفصل الثالث
الكلمةالمشاهدات
الاختبارات ️ 6
مساحة ️ 5
volume ️ 5
بقسميه ️ 4
بريدج ️ 3
أكثر خمس كلمات الرائجة لليوم في الصف الثاني عشر المتقدم
الكلمةالمادةالمشاهدات
sheets رياضيات ️ 13
sheets فيزياء ️ 13
sheets علوم صحية ️ 12
differentiation رياضيات ️ 9
Fiekd فيزياء ️ 8

أحدث ملفات الصف الثاني عشر المتقدم
1. رياضيات, الفصل الأول, 2025-2026, مراجعة الدرس السادس Derivative of trigonometric functions مشتقة الدوال المثلثية من الوحدة الثالثة (اختبر نفسك 10)
قبل 1 يوم | المشاهدات: 75
2. رياضيات, الفصل الأول, 2025-2026, مراجعة الدرس الخامس Chain rule قاعدة السلسلة من الوحدة الثالثة (اختبر نفسك 9)
قبل 1 يوم | المشاهدات: 71
3. كيمياء, الفصل الأول, 2025-2026, مراجعة وفق الهيكل الوزاري الجديد المسار C منهج انسباير مع الإجابات
قبل 1 يوم | المشاهدات: 74
4. كيمياء, الفصل الأول, 2025-2026, حل تجميعة صفحات الكتاب وفق الهيكل الوزاري المسار C-101 منهج بريدج
قبل 2 أيام | المشاهدات: 100
5. علوم, الفصل الأول, 2025-2026, مراجعة وفق الهيكل الوزاري الجديد المسار C-101 منهج انسباير بدون الحل
قبل 5 أيام | المشاهدات: 162
6. رياضيات, الفصل الأول, 2025-2026, مراجعة الدرس الرابع Product and quotient rule قاعدة الضرب والقسمة من الوحدة الثالثة (اختبر نفسك 8)
قبل 6 أيام | المشاهدات: 109
7. رياضيات, الفصل الأول, 2025-2026, حل مراجعة الدرس الثالث COMPUTATION OF DERIVATIVES: THE POWER RULE حساب المشتقات: قاعدة القوى من الوحدة الثالثة (اختبر نفسك 7)
قبل 6 أيام | المشاهدات: 120
8. رياضيات, الفصل الأول, 2025-2026, مراجعة الدرس الثالث COMPUTATION OF DERIVATIVES: THE POWER RULE حساب المشتقات: قاعدة القوى من الوحدة الثالثة (اختبر نفسك 7)
قبل 6 أيام | المشاهدات: 150
9. رياضيات, الفصل الأول, 2025-2026, حل مراجعة الدرسين الأول والثاني Tangent Lines and Velocity The Derivative المماسات والسرعة المتجهة الاشتقاق من الوحدة الثالثة (اختبر نفسك 6)
قبل 6 أيام | المشاهدات: 165
10. رياضيات, الفصل الأول, 2025-2026, مراجعة الدرسين الأول والثاني Tangent Lines and Velocity The Derivative المماسات والسرعة المتجهة الاشتقاق من الوحدة الثالثة (اختبر نفسك 6)
قبل 6 أيام | المشاهدات: 110
11. رياضيات, الفصل الأول, 2025-2026, حل مراجعة الدرس الخامس Limits involving infinity, asymptotes نهاية دالة عند اللانهاية والمقاربات من الوحدة الثانية (اختبر نفسك 5)
قبل 6 أيام | المشاهدات: 191
12. فيزياء, الفصل الأول, 2025-2026, شرح دروس الوحدة الثانية المجال الكهربائي وقانون جاوس مع تدريبات متبوعة بالإجابات
قبل 6 أيام | المشاهدات: 173
13. فيزياء, الفصل الأول, 2025-2026, أوراق عمل مراجعة الوحدة الثانية المجال الكهربائي وقانون جاوس
قبل 6 أيام | المشاهدات: 239
14. رياضيات, الفصل الأول, 2025-2026, تجميعة أسئلة نموذج امتحاني وفق الهيكل الوزاري الجديد حسب منهج بريدج وريفيل
قبل 6 أيام | المشاهدات: 172
15. فيزياء, الفصل الأول, 2025-2026, نموذج إجابة تجميعة أسئلة مراجعة وفق الهيكل الوزاري الجديد المسار C منهج انسباير
قبل 1 أسبوع | المشاهدات: 253
اضغط للمزيد من ملفات الصف الثاني عشر المتقدم

أحدث ملفات الصف الثاني عشر المتقدم, أخبار, الفصل الثالث
1. ملخص "الاتزان."
تاريخ ووقت الإضافة: 2019-04-19 19:28:32
هل تريد ملفات لمادة أخرى لقسم الصف الثاني عشر المتقدم, الفصل الثالث ؟ اخترها
رياضيات
(328 ملف)
فيزياء
(224 ملف)
كيمياء
(152 ملف)
علوم
(32 ملف)
علوم صحية
(9 ملف)
الامتحانات
(8 ملف)
لغة انجليزية
(3 ملف)
لغة عربية
(1 ملف)
التربية
(1 ملف)
تربية أخلاقية
(1 ملف)