الملاحظات المثبتة في المناهج الإماراتية
أهلاً بكم جميعاً طلاباً ومدرسين وأهالي طلبة ومهتمين، في قسم دولة الإمارات ، نحن الآن في الفصل الأول من العام الدراسي 2025/2026 وتاريخ اليوم 2025/11/11 م
تنويه: المناهج الإماراتية هو موقع مجاني وغير رسمي ولا يتطلب اشتراك لتحميل الملفات، لذلك يرجى عدم دفع أي مبلغ أو الاشتراك من أجل تحميل الملفات.
الجداول التفاعلية لامتحان نهاية الفصل الأول للصفوف من الثالث إلى الثاني عشر
📆 الملاحظة القادمة في التقويم المدرسي - الفصل الأول: الاختبار التجريبي. في 2025-11-17
📌 الخطة الدراسية الرسمية المعتمدة للعام الدراسي 2025-2026
📌 تنويه: موقع المناهج لا ينشر أي إعلان أو روابط تخص منصة ألف، وعليه نرجو منكم الخروج من المجموعات التي تضع شعار الموقع والتي تقوم بالترويج لحلول منصة ألف
🆕 وزارة التربية والتعليم تكشف تفاصيل التقويم الأكاديمي 2025 – 2026
اختبار نهاية الفصل لطلبة الصف الحادي عشر المتقدم التالي سيكون في مادة فيزياء بتاريخ 2025-11-20 - اضغط للحصول على ملفات مادة فيزياء واضغط هنا للحصول على ملفات هياكل مادة فيزياء
أنت هنا: موقع المناهجالمناهج الإماراتية الصف الحادي عشر المتقدم رياضيات الفصل الثالث ملفات متنوعة
×

تنويه:
جميع الملفات المنشورة في موقع المناهج هي من إعداد المعلمين أو مستخدمينا الكرام، وتُستخدم لأغراض تعليمية غير ربحية.
في حال وجود أي بلاغ متعلق بحقوق النشر، نرجو التواصل معنا على البريد التالي:
admin@almanahj.com
وسيتم التعامل مع الطلب وحذف المحتوى المخالف خلال 24 ساعة.

مذكرة مراجعة في
السابق: اسئلة مراجعة ثانية لوحدة الاحداثات القطبية الملف الحالي: 5231 التالي: مراجعة وفق الهيكل الوزاري الجديد منهج بريدج
المادة: رياضيات
الصف الحادي عشر المتقدم
الفصل الثالث
القسم: ملفات متنوعة
العام الدراسي: 2017-2018

معلومات الملف: الصف الحادي عشر المتقدم, الفصل الثالث, رياضيات, 2017-2018, مذكرة مراجعة في مادة الرياضيات

الحجم: 0
تاريخ إضافة الملف: 2019-04-19 07:04:34 بتوقيت غرينتش
عدد المشاهدات: 4883
توقيت آخر زيارة للملف: 2025-11-09 05:51:24
تمت إضافته بواسطة: aml987
رابط تحميل وعرض ( مذكرة مراجعة في )
اضغط هنا لتحميل وعرض ( مذكرة مراجعة في )
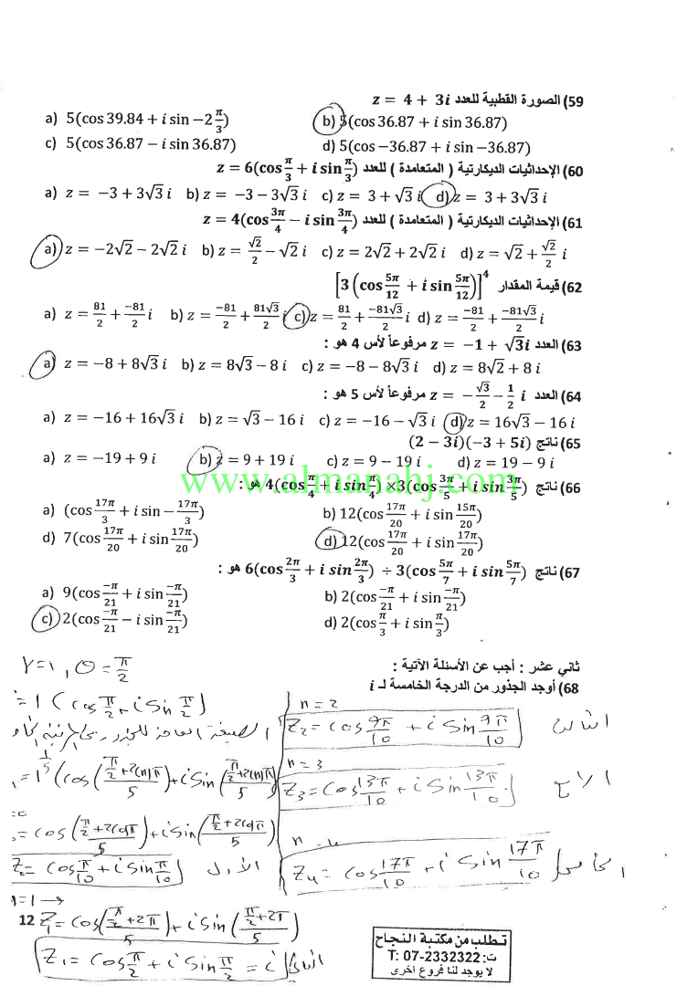
صورة تعبيرية من الملف:

لتحميل الملف اتبع الرابط

http://aefiles.website/do.php?id=2483">http://aefiles.website/do.php?id=2483

 

 
شارك هذا الملف
البحث عن ملف بحسب الدولة و الصف والمادة والفصل

أحدث ملفات الصف الحادي عشر المتقدم, رياضيات, الفصل الثالث
1. ملخص مراجعة الدروس وفق الهيكل الوزاري واختبارات سابقة
تاريخ ووقت الإضافة: 2025-06-15 18:05:34
2. حل مراجعة امتحانية وفق الهيكل الوزاري منهج ريفيل
تاريخ ووقت الإضافة: 2025-06-08 20:30:59
3. حل مراجعة امتحانية وفق الهيكل الوزاري منهج بريدج
تاريخ ووقت الإضافة: 2025-06-08 20:29:41
4. حل مراجعة امتحانية وفق الهيكل الوزاري منهج ريفيل المسار النخبة
تاريخ ووقت الإضافة: 2025-06-08 20:27:31
5. حل تجميعة مراجعة وفق الهيكل الوزاري منهج ريفيل
تاريخ ووقت الإضافة: 2025-06-05 12:29:48
6. تجميعة مراجعة وفق الهيكل الوزاري منهج ريفيل بدون الحل
تاريخ ووقت الإضافة: 2025-06-05 12:28:30
7. حل نموذج تدريبي للاختبار النهائي وفق الهيكل الوزاري
تاريخ ووقت الإضافة: 2025-06-03 14:54:47
8. نموذج تدريبي للاختبار النهائي وفق الهيكل الوزاري
تاريخ ووقت الإضافة: 2025-06-03 14:52:30
9. تجميعة أسئلة وفق الهيكل الوزاري القسم الالكتروني والورقي بدون الحل
تاريخ ووقت الإضافة: 2025-05-30 17:18:16
10. تجميعة أسئلة وفق الهيكل الوزاري حسب منهج ريفيل مع الحلول
تاريخ ووقت الإضافة: 2025-05-29 18:47:54
هل تريد ملفات لمادة أخرى لقسم الصف الحادي عشر المتقدم, الفصل الثالث ؟ اخترها
فيزياء
(119 ملف)
علوم
(69 ملف)
كيمياء
(30 ملف)
الامتحانات
(7 ملف)
علوم صحية
(4 ملف)
أخبار
(3 ملف)
الدوام
(2 ملف)
أكثر خمس كلمات زيارة اليوم بحسب: رياضيات - الصف الحادي عشر المتقدم - الفصل الثالث
الكلمةالمشاهدات
التاسعة ️ 2
الهندسية ️ 2
quizzes ️ 1
الكتاب ️ 1
Lesson ️ 1
أكثر خمس كلمات الرائجة لليوم في الصف الحادي عشر المتقدم
الكلمةالمادةالمشاهدات
book فيزياء ️ 3
final فيزياء ️ 3
الوزارة كيمياء ️ 3
sheets فيزياء ️ 2
notes فيزياء ️ 2

أحدث ملفات الصف الحادي عشر المتقدم
1. علوم, الفصل الأول, 2025-2026, مراجعة وفق الهيكل الوزاري الجديد منهج بريدج
قبل 1 يوم | المشاهدات: 88
2. رياضيات, الفصل الأول, 2025-2026, تجميعة أسئلة وفق الهيكل الوزاري الجديد منهج بريدج
قبل 4 أيام | المشاهدات: 436
3. فيزياء, الفصل الأول, 2025-2026, كراسة تدريبية مراجعة وفق الهيكل الوزاري الجديد منهج بريدج
قبل 5 أيام | المشاهدات: 750
4. كيمياء, الفصل الأول, 2025-2026, كراسة تدريبية مراجعة وفق الهيكل الوزاري الجديد الخطة P2 منهج بريدج
قبل 5 أيام | المشاهدات: 672
5. رياضيات, الفصل الأول, 2025-2026, كراسة تدريبية مراجعة وفق الهيكل الوزاري الجديد منهج بريدج
قبل 5 أيام | المشاهدات: 386
6. علوم, الفصل الأول, 2025-2026, كراسة تدريبية مراجعة وفق الهيكل الوزاري الجديد منهج بريدج
قبل 5 أيام | المشاهدات: 319
7. كيمياء, الفصل الأول, 2025-2026, تجميعة مراجعة صفحات الكتاب وفق الهيكل الوزاري منهج بريدج
قبل 6 أيام | المشاهدات: 528
8. رياضيات, الفصل الأول, 2025-2026, تجميعة أسئلة شاملة وفق الهيكل الوزاري الجديد منهج بريدج
قبل 6 أيام | المشاهدات: 302
9. رياضيات, الفصل الأول, 2025-2026, تجميعة أسئلة مراجعة وفق الهيكل الوزاري الجديد منهج بريدج
قبل 1 أسبوع | المشاهدات: 201
10. رياضيات, الفصل الأول, 2025-2026, حل تجميعة أسئلة مراجعة وفق الهيكل الوزاري الجديد منهج بريدج
قبل 1 أسبوع | المشاهدات: 261
11. كيمياء, الفصل الأول, 2025-2026, حل تجميعة أسئلة سيناريو 1 وفق الهيكل الوزاري الجديد منهج انسباير
قبل 1 أسبوع | المشاهدات: 475
12. رياضيات, الفصل الأول, 2025-2026, تجميعة أسئلة صفحات الكتاب وفق الهيكل الوزاري الجديد منهج بريدج
قبل 2 أسابيع | المشاهدات: 506
13. رياضيات, الفصل الأول, 2025-2026, مراجعة وحدة الدوال المثلثية وفق الهيكل الوزاري الجديد منهج بريدج
قبل 2 أسابيع | المشاهدات: 227
14. رياضيات, الفصل الأول, 2025-2026, مراجعة وحدة الدوال من منظور التفاضل والتكامل وفق الهيكل الوزاري الجديد منهج بريدج
قبل 2 أسابيع | المشاهدات: 180
15. رياضيات, الفصل الأول, 2025-2026, مراجعة وحدة الإحصاء وفق الهيكل الوزاري الجديد منهج بريدج
قبل 2 أسابيع | المشاهدات: 183
اضغط للمزيد من ملفات الصف الحادي عشر المتقدم

أحدث ملفات الصف الحادي عشر المتقدم, الدوام, الفصل الثالث
1. أجندة الأسبوع القادم في مدرسة الشعلة الخاصة بنات
تاريخ ووقت الإضافة: 2020-06-13 08:09:28
2. أجندة الأسبوع القادم في مدرسة الشعلة الخاصة
تاريخ ووقت الإضافة: 2020-06-12 21:40:18
هل تريد ملفات لمادة أخرى لقسم الصف الحادي عشر المتقدم, الفصل الثالث ؟ اخترها
رياضيات
(177 ملف)
فيزياء
(119 ملف)
علوم
(69 ملف)
كيمياء
(30 ملف)
الامتحانات
(7 ملف)
علوم صحية
(4 ملف)
أخبار
(3 ملف)