" /> ">
الملاحظات المثبتة في المناهج الإماراتية
أهلاً بكم جميعاً طلاباً ومدرسين وأهالي طلبة ومهتمين، في قسم دولة الإمارات ، نحن الآن في الفصل الأول من العام الدراسي 2025/2026 وتاريخ اليوم 2025/11/10 م
تنويه: المناهج الإماراتية هو موقع مجاني وغير رسمي ولا يتطلب اشتراك لتحميل الملفات، لذلك يرجى عدم دفع أي مبلغ أو الاشتراك من أجل تحميل الملفات.
الجداول التفاعلية لامتحان نهاية الفصل الأول للصفوف من الثالث إلى الثاني عشر
📆 الملاحظة القادمة في التقويم المدرسي - الفصل الأول: الاختبار التجريبي. في 2025-11-17
📌 الخطة الدراسية الرسمية المعتمدة للعام الدراسي 2025-2026
📌 تنويه: موقع المناهج لا ينشر أي إعلان أو روابط تخص منصة ألف، وعليه نرجو منكم الخروج من المجموعات التي تضع شعار الموقع والتي تقوم بالترويج لحلول منصة ألف
🆕 وزارة التربية والتعليم تكشف تفاصيل التقويم الأكاديمي 2025 – 2026
أنت هنا: موقع المناهجالمناهج الإماراتية الصف الحادي عشر فيزياء الفصل الأول حلول
×

تنويه:
جميع الملفات المنشورة في موقع المناهج هي من إعداد المعلمين أو مستخدمينا الكرام، وتُستخدم لأغراض تعليمية غير ربحية.
في حال وجود أي بلاغ متعلق بحقوق النشر، نرجو التواصل معنا على البريد التالي:
admin@almanahj.com
وسيتم التعامل مع الطلب وحذف المحتوى المخالف خلال 24 ساعة.

متقدم حل الوحدة الثالثة الحركة المتسارعة
السابق: ورقة عمل حول الإستعفاف الملف الحالي: 1479 التالي: كتيب شرح وتدريبات وفق الهيكل الوزاري المنهج الجديد المسار المتقدم
المادة: فيزياء
الصف الحادي عشر
الفصل الأول
القسم: حلول
العام الدراسي: 2016-2017

معلومات الملف: الصف الحادي عشر متقدم- فيزياء- حل الوحدة الثالثة - الحركة المتسارعة 2016-2017

الحجم: 0
تاريخ إضافة الملف: 2019-04-19 07:04:32 بتوقيت غرينتش
عدد المشاهدات: 2963
توقيت آخر زيارة للملف: 2025-11-09 12:53:19
تمت إضافته بواسطة: aml987
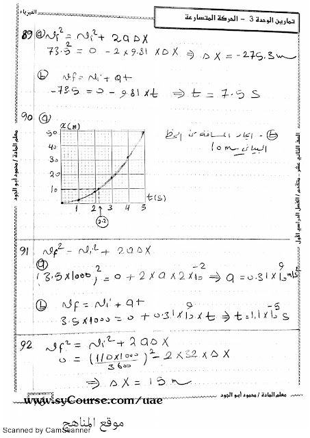
صورة تعبيرية من الملف:

الصف الحادي عشر متقدم- فيزياء- حل الوحدة الثالثة - الحركة المتسارعة 2016-2017 وفق المنهاج الاماراتي

للتحميل على شكل كتاب الكتروني اتبع الرابط التالي: http://upload.sycourse.com/download.php?f=11ph.pdf

 

 

شارك هذا الملف
البحث عن ملف بحسب الدولة و الصف والمادة والفصل
هل تريد ملفات لمادة أخرى لقسم الصف الحادي عشر, الفصل الأول ؟ اخترها
لغة انجليزية
(117 ملف)
لغة عربية
(107 ملف)
تربية اسلامية
(79 ملف)
اجتماعيات
(61 ملف)
علوم صحية
(47 ملف)
الامتحانات
(9 ملف)
تربية أخلاقية
(8 ملف)
علوم
(4 ملف)
أخبار
(3 ملف)
رياضيات
(2 ملف)
المدارس
(2 ملف)
المناهج
(2 ملف)
برنامج تمكين
(1 ملف)
تصميم
(1 ملف)
أكثر خمس كلمات زيارة اليوم بحسب: فيزياء - الصف الحادي عشر - الفصل الأول
الكلمةالمشاهدات
keys ️ 1
أكثر خمس كلمات الرائجة لليوم في الصف الحادي عشر
الكلمةالمادةالمشاهدات
keys لغة عربية ️ 9
quizzes لغة عربية ️ 7
english فيزياء ️ 7
لغة انجليزية لغة انجليزية ️ 6
كتاب تربية اسلامية ️ 5

أحدث ملفات الصف الحادي عشر
1. لغة انجليزية, الفصل الأول, 2025-2026, كتيب شرح وتدريبات وفق الهيكل الوزاري المنهج الجديد المسار المتقدم
قبل 1 أسبوع | المشاهدات: 302
2. لغة انجليزية, الفصل الثالث, 2024-2025, تجميعة أسئلة امتحانية نهائية وزارية سابقة القسم الالكتروني مع الحلول
قبل 4 أشهر | المشاهدات: 1689
3. تربية اسلامية, الفصل الثالث, 2024-2025, نموذج أسئلة اختبار حسب هيكل الوزاري متبوع بالإجابات
قبل 11 أشهر | المشاهدات: 1660
4. تربية اسلامية, الفصل الثالث, 2024-2025, نموذج إجابات الأسئلة المطروحة في الهيكل الوزاري
قبل 11 أشهر | المشاهدات: 1260
5. تربية اسلامية, الفصل الأول, 2024-2025, حل أسئلة الاختبار التكويني الثاني
قبل 1 سنة | المشاهدات: 1493
6. لغة عربية, الفصل الثالث, 2023-2024, النصوص من حولنا تصنيف النصوص
قبل 1 سنة | المشاهدات: 4835
7. لغة انجليزية, الفصل الأول, 2023-2024, كتاب الطالب Coursebook
قبل 2 سنوات | المشاهدات: 30400
8. علوم صحية, الفصل الثاني, 2022-2023, حل تجميعة أسئلة وفق الهيكل الوزاري
قبل 2 سنوات | المشاهدات: 2805
9. تربية اسلامية, الفصل الثاني, 2021-2022, كتاب دليل المعلم
قبل 2 سنوات | المشاهدات: 3278
10. لغة انجليزية, الفصل الأول, 2022-2023, نموذج الهيكل الوزاري الفصل الأول
قبل 2 سنوات | المشاهدات: 24494
11. لغة عربية, الفصل الأول, 2022-2023, كتاب التطبيقات اللغوية المجلد الأول
قبل 3 سنوات | المشاهدات: 5388
12. اجتماعيات, الفصل الأول, 2022-2023, ملخص شامل للمقرر سؤال وجواب
قبل 3 سنوات | المشاهدات: 3481
13. لغة انجليزية, الفصل الأول, 2022-2023, مقرر نهاية الفصل الدراسي الأول للقواعد والوظائف اللغوية المستوى 8.1
قبل 3 سنوات | المشاهدات: 4266
14. لغة انجليزية, الفصل الأول, 2022-2023, مقرر نهاية الفصل الدراسي الأول للقواعد والوظائف اللغوية المستوى 7.1
قبل 3 سنوات | المشاهدات: 4000
15. لغة انجليزية, الفصل الأول, 2022-2023, مخطط تقييم المقرر ENGLISH ASSESSMENT PLANNER LEVEL 7.1
قبل 3 سنوات | المشاهدات: 3931
اضغط للمزيد من ملفات الصف الحادي عشر

أحدث ملفات الصف الحادي عشر, تصميم, الفصل الأول
1. حاسوب Computer Science Assessment Guide
تاريخ ووقت الإضافة: 2019-04-19 19:28:34
هل تريد ملفات لمادة أخرى لقسم الصف الحادي عشر, الفصل الأول ؟ اخترها
لغة انجليزية
(117 ملف)
لغة عربية
(107 ملف)
تربية اسلامية
(79 ملف)
اجتماعيات
(61 ملف)
علوم صحية
(47 ملف)
الامتحانات
(9 ملف)
تربية أخلاقية
(8 ملف)
علوم
(4 ملف)
أخبار
(3 ملف)
رياضيات
(2 ملف)
المدارس
(2 ملف)
المناهج
(2 ملف)
برنامج تمكين
(1 ملف)
فيزياء
(1 ملف)